James E. Harvey and Frederick A. Heupler, Jr.
PHYSICS OF PRESSURE MEASUREMENT
The most common method of measuring pressures in the cardiac catheterization laboratory is to use fluid-filled catheter systems that convey the pressure wave from the site of interest through a catheter, manifold, and a pressure transducer that converts the pressure waveform to an electrical signal. A catheter with a pressure transducer at the tip provides a more accurate pressure recording, but these catheters are too expensive for routine clinical use.
Fluid-filled catheters commonly produce several types of artifacts in recorded waveforms:
1. Low-frequency response
2. Overshoot
3. Zero level
Low-frequency response and overshoot are common to all types of fluid-filled pressure-transmitting devices. The natural resonant frequency of a catheter–manometer system is the frequency at which the system oscillates when stimulated. The desirable frequency response for measuring intracardiac pressures in an adult with a fluid filled catheter system is about 20 Hz or more. When the natural resonant frequency response of a catheter system is below about 12 Hz, low-frequency catheter oscillation waves will obscure high-frequency cardiac waveforms. The operator should try to minimize the following factors that lower the frequency response of a catheter–manometer system:
1. Air bubbles in the catheter system
2. High-viscosity fluid in the catheter (e.g., contrast material instead of saline)
3. Long fluid-filled tubing between the catheter and the pressure transducer
4. A long catheter
5. A narrow-bore catheter
6. A catheter made of soft, compliant material
Overshoot is produced by reflected waves within the catheter–manometer system. The magnitude of overshoot can be reduced by mechanical or electrical damping. Overdamping eliminates overshoot, but it reduces frequency response. Optimal damping reduces overshoot without producing a major drop in frequency response (Fig. 45.1).

FIGURE 45.1 A:Underdamped. B: Optimally damped. C: Overdamped.
The pressure transducer in a fluid-filled catheter system must be placed in a position equal to the mid-height atrial level to achieve the “zero level.” This is approximately one-half the distance between the front and the back of the chest in a supine patient. If the transducer is placed at the level of the anterior chest surface of a supine patient, the recorded pressures will be falsely low.
Respiration produces cyclical changes in the absolute pressure of all intrathoracic cardiovascular structures. Pressure measurement should be measured during end expiration. The ultimate goal of setting up a fluid-filled catheter pressure measurement system is to achieve the highest frequency response possible, optimally damp the system to eliminate overshoot, and locate the pressure transducer at the zero level.
BASIC INTRACARDIAC WAVEFORMS
The basic configuration of normal waveforms is similar for the right and left atria. The V-wave amplitude is generally greater than the A wave in the left atrium, whereas the A wave predominates in the right atrium (RA). Electromechanical delay is about 40 to 80 milliseconds. The basic intra-atrial waveforms and the events to which they correspond are as follows:
A: atrial contraction
C: ventricular contraction
V: rising atrial pressures during ventricular systole; occurs during the T wave
C-V, or systolic: rapidly rising atrial pressure due to severe atrioventricular valve regurgitation
X descent: atrial relaxation; occurs after the A-wave peak, before the C wave
X′ descent: atrial relaxation; occurs after the C wave and before the V wave
Y descent: opening of the atrioventricular valve; occurs after the peak of the V wave (Fig. 45.2).

FIGURE 45.2 Timing of the interatrial waveform with the electrocardiogram.
Arrhythmias may produce a variety of changes in intracardiac pressures:
1. Atrial fibrillation will eliminate A waves.
2. Junctional rhythm will displace A waves closer to the C wave.
3. Premature ventricular contractions (PVCs) and ventricular pacemaker rhythm may produce cannon A waves in the atrium as a result of atrial contraction against a closed atrioventricular valve.
Normal values for intracardiac pressures are listed in Table 45.1.
TABLE
45.1 Normal Values for Intracardiac Pressure

Pulmonary Capillary Wedge Pressure Waveforms
Pulmonary capillary wedge (PCW) pressures indirectly reflect left atrial pressures. PCW waveforms demonstrate a mechanical time delay, decreased amplitude, and decreased frequency response compared to simultaneously recorded left atrial waveforms (Fig. 45.3). The reason for these changes is the retrograde transmission of pressure waves from the left atrium through the pulmonary veins, capillaries, and arterioles to the wedged catheter in the pulmonary artery. The mechanical time delay is determined by the location of the wedged catheter in the pulmonary arterial circuit and by the volume and compliance of the pulmonary venous circuit and left atrium. A stiff 7 French end-hole catheter (e.g., Cournand) will wedge more distally in the pulmonary artery, with a mechanical time delay of about 70 to 80 milliseconds. A balloon-tipped catheter will wedge more proximally in the pulmonary artery branches, with a mechanical time delay up to 150 to 160 milliseconds. Proper wedging of the right heart catheter can be demonstrated by:

FIGURE 45.3 Electromechanical delay between left atrial waveform and pulmonary capillary wedge pressure waveform.
1. A mean PCW pressure about 10 mm Hg lower than mean PA pressure
2. Blood withdrawn from the wedged catheter has an oxygen saturation at least equal to arterial saturation.
For the PCW to accurately reflect left atrial pressure, the pulmonary artery catheter must be positioned in an area of the lung where the mean pulmonary capillary pressure (Pc) exceeds the mean alveolar pressure (PA). The lungs can be divided into three physiologic zones of blood flow. These zones are based upon the relative differences in alveolar pressure, mean pulmonary artery pressure, and pulmonary capillary pressure:
Zone 1 (highest in elevation): This is the part of the lung that is above the level where the alveolar pressure (PA) is equal to the pulmonary artery pressure (Pa), such that PA > Pa > Pc throughout this zone. There is minimal to no blood flow in this zone because the pressure exerted on the pulmonary artery by the alveoli prevents blood flow to the capillaries.
Zone 2 (middle elevation): This region of the lung lies between where the pulmonary artery pressure equals the alveolar pressure and where the alveolar pressure equals the pulmonary capillary pressure; such that Pa > PA > Pc.
Zone 3 (lowest in elevation): This is the region of the lung that lies below the level where the alveolar pressure equals the pulmonary capillary pressure, such that Pa > Pc > PA.
If the pulmonary catheter is in an area where the alveolar pressure is greater than the pulmonary capillary pressure, then the PCW waveform will be falsely elevated. Thus, the PCW pressure accurately reflects left atrial pressure only when the catheter is in zone 3 of the lung. In the catheterization laboratory, a newly placed pulmonary artery catheter selectively advances to zone 3, thereby assuring valid PCW measurement. However, when in the intensive care unit, the patient can be repositioned or significant fluid changes can occur thereby changing the intrapulmonary hemodynamics. Thus it is often necessary to verify that the location of the catheter tip still exhibits zone 3 physiology. Marked respiratory variation in the PAWP tracing and a loss of the normal atrial pressure waveform suggest that the catheter is in a zone other than zone 3. When using a balloon-tipped pulmonary artery catheter, withdrawing the catheter back to the right ventricle (RV) and then readvancing the catheter with the balloon tip inflated will usually reposition the catheter into zone 3.
Accurate PCW pressures may be difficult to obtain in patients with near systemic levels of pulmonary hypertension. Characteristically, the PCW pressures may appear falsely elevated, which may lead to a false impression of postcapillary pulmonary hypertension. In these cases, direct left ventricular and/or left atrial pressure measurement may be required to determine if the left heart pressures are truly elevated.
Pressure Wave Artifacts
In addition to the artifacts that may be produced by low-frequency response and overshoot, catheter structure or placement may introduce artifacts in pressure recordings.
End-hole artifacts may occur when the tip of an end-hole catheter becomes occluded during contraction of an atrial or ventricular wall. If this occurs during atrial systole with a catheter in the atrium, the A wave will appear greatly magnified (Fig. 45.4). If end-hole occlusion occurs with a catheter in a pulmonary artery, the PCWP will appear falsely low and flat.

FIGURE 45.4 Falsely elevated A wave recorded from an endhole catheter in the right atrium.
Simultaneous recording of ventricular and aortic pressures may occur when the tip of a pigtail catheter is located in the ventricle and the side port in the aorta. This may produce a bizarre-looking pressure wave with an apparently elevated diastolic left ventricular pressure (Fig. 45.5).

FIGURE 45.5 A: Pressure recording from pigtail catheter with endhole in the left ventricle and side-holes in the aorta revealing a falsely elevated LVEDP. B: Pressure recording in same patient with pigtail catheter completely in left ventricle demonstrating the accurate LVEDP.
Catheter-whip artifact is a high-frequency oscillation that results from rapid movement of the catheter by blood flow. This is particularly likely to occur in the pulmonary artery and above a stenotic aortic valve.
Cardiac Output Measurement
The fundamental function of the heart is to deliver enough blood to the systemic circulation to meet the oxygen demands of tissues. The normal cardiac output (CO) increases with body size and exercise and decreases with age. Numerous other factors may affect resting CO. In order to account for body size, the CO is normalized to body surface area (BSA) in square meters (m2), and the result is the cardiac index. BSA may be obtained from a nomogram or calculated by the following formula:
![]()
The normal resting cardiac index falls from about 4.5 L/min/m2 at age 7 years to 3 L/min/m2 in middle age, and to 2.5 L/min/m2 at age 70.
The two major methods for measurement of CO in the cardiac catheterization lab are the Fick oxygen technique and the indicator dilution technique.
The Fick Technique
The Fick principle states that the total uptake or release of any substance (such as oxygen) by an organ (such as the lungs) is the product of blood flow to the organ and the arteriovenous (A-V) concentration difference of the substance. If pulmonary blood flow equals systemic blood flow, then
![]()
Oxygen consumption can be estimated by measuring the oxygen uptake from room air by use of a Douglas bag or metabolic hood. In order to conserve time and expense, many laboratories use an assumed oxygen consumption based on the formula 125 mL/min/m2 for younger patients (110 mL/min/m2 for older patients) or 3 mL/min/kg. However, assumed oxygen consumption values may produce discrepancies of ±10% to 25% in about half of patients.
A-V oxygen difference is obtained by subtracting the oxygen content of pulmonary venous (or systemic arterial) from pulmonary arterial (or “mixed venous”) blood. Oxygen content may be calculated using the formula
![]()
where Hb is hemoglobin.
The final formula for calculation of CO then becomes
![]()
Estimation of pulmonary arterial oxygen content by using “mixed venous” blood from the venae cavae is less accurate. Mixed venous blood oxygen saturation is an estimation of what the pulmonary artery blood oxygen saturation would be if no shunt were present. This can be approximated by the following formula:
![]()
and
![]()
where superior vena cava (SVC) and inferior vena cava (IVC) are the respective O2 saturations.
Use of arterial blood to estimate pulmonary venous blood oxygen content is acceptable, because, in the absence of shunts, only a small amount of venous blood enters the arterial circuit within the heart via the Thebesian veins. Narrow A-V oxygen differences (as seen with high CO) are more likely to introduce error than wide differences (as seen with low CO). Thus, the Fick method is most accurate in patients with low CO.
Assume that a patient has the following measured values:
Oxygen consumption = 250 mL/min
Femoral artery oxygen saturation = 97%
SVC oxygen saturation = 70%
IVC oxygen saturation = 78%
Hb concentration = 14.0 g%
The mixed venous blood saturation will be
![]()
In this case, the CO can be calculated as

Indicator Dilution Methods
The most commonly used indicator dilution method today is the thermodilution technique. This method utilizes a bolus injection of saline, followed by continuous measurement of the temperature of the blood by a thermistor in the pulmonary artery. The resulting curve is analyzed by computer to derive the CO using the basic indicator dilution equation. With this method, the temperature of the injectate (measured in the injectate fluid container before injection) is assumed to increase by a predictable amount during injection.
Accurate measurement of both blood and injectate temperatures immediately before injection is important for measuring thermodilution COs. According to the formula for calculating thermodilution CO, the temperature difference between blood and injectate (typically 16°C when room-temperature injectate is used) is directly proportional to CO. Small errors in either of these measurements can produce errors in calculated CO.
Thermodilution CO will be overestimated if the injectate temperature is inappropriately increased by permitting the injectate to remain in the syringe or by holding the syringe in the hand before and during injection. Use of cooled injectate, as opposed to room-temperature injectate, may produce an even greater mean error, probably because warming of the cooled injectate in the tubing and syringe produces an even greater increase in temperature than use of room-temperature injectate. Even though there is a theoretical advantage to iced injectate because of its greater signal-to-noise ratio, most studies have shown no advantage to iced over room-temperature injectate. A dual-thermistor catheter appears to minimize these problems with injectate temperature, resulting in more consistent and accurate CO measurements, but at increased expense.
The thermodilution technique will overestimate CO in low-flow states because of warming of blood by the cardiac chambers. The thermodilution method is most accurate in high-flow states. It is unreliable in the presence of significant tricuspid regurgitation because the injectate is warmed during its prolonged stay within the RA and R V. Overall, the thermodilution method should have an error of no more than 5% to 10% when performed correctly.
Shunt Calculation
An intracardiac shunt is an abnormal communication between the left and right heart chambers. A left-to-right intracardiac shunt increases pulmonary blood flow in relation to systemic flo w, and a right-to-left shunt does the opposite.
Oximetry is the most common method for calculating intracardiac shunts in the catheterization laboratory, although dye dilution curves and angiography may also be used. Oximetry is not as sensitive as dye dilution curves for detecting small shunts, but it should be capable of detecting any shunt that is large enough to merit surgical correction. Detailed oximetric analysis requires sampling in the RA (three sites), SVC (high and low), IVC (at renal artery level and below the diaphragm), RV (three sites), pulmonary artery, and aorta.
When a left-to-right shunt exists at the atrial level, it is necessary to use the SVC and IVC oxygen saturations to calculate the mixed venous blood saturation, as described above. The same principle applies when a left-to-right shunt exists at the right ventricular level, especially when tricuspid regurgitation is present. A significant increase in oxygen saturation in the right side of the heart is considered to exist when there is >7% increase from the SVC/IVC to the RA, >5% from the RA to the RV, and >5% from the RV to the PA.
Left-to-right shunts are commonly expressed as Qp/Qs. Qp, or pulmonary flow, and Qs, or systemic flow, are calculated using the formula given above for calculating CO. The A-V O2 difference for Qprequires pulmonary arterial and pulmonary venous samples (or assumption of a pulmonary venous saturation of 95%). The A-V O2 difference for Qs requires arterial and mixed venous samples. A Qp/Qs <1.5 signifies a small left-to-right shunt, 1.5 to 2.0 an intermediate size, and >2.0 a large shunt. A Qp/Qs <1.0 indicates a net right-to-left shunt.
When Qp/Qs is calculated, all the components of the CO formula factor out, leaving only the oxygen saturations. Therefore, Qp/Qs can be calculated by the following formula:

Assume that a patient with an ostium secundum interatrial septal defect has the following measured values:
LV oxygen saturation = 96%
SVC oxygen saturation = 67.5%
IVC oxygen saturation = 73%
PA oxygen saturation = 80%
The mixed venous blood saturation is
![]()
In this case, Qp/QS is calculated as follows:
![]()
Vascular Resistance
Vascular resistance is defined by the ratio of pressure gradient across a vascular circuit divided by the flow. In a rigid tube with steady laminar flow of a homogeneous fluid, the relationship between pressure and flow is described by Poiseuille’s law, which states that the pressure drop across a circuit with fluid flowing at a constant rate (and therefore its resistance) is directly proportional to the length of the tube and the viscosity of the fluid and indirectly proportional to the fourth power of the radius of the tube. Within the bloodstream, Poiseuille’s law is inaccurate because blood flow is pulsatile and nonlaminar, blood is not homogeneous, and blood vessels are nonlinear and elastic. However, the basic principles of this law still apply in clinical measurements of resistance.
For clinical purposes, two important vascular resistance concepts are commonly derived from pressure and flow data:

where
is the mean systemic arterial pressure,
the mean right atrial pressure,
the mean pulmonary arterial pressure,
the mean left atrial pressure, QS the systemic blood flow, and QP the pulmonary blood flow. The mean PCW pressure is often used as an approximation of the left atrial pressure.
These calculations yield vascular resistance in Wood units, named after Dr. Paul Wood. To convert to metric resistance units, expressed in dynes-sec-cm-5, multiply vascular resistance by 80. Vascular resistance index (VRI) is obtained by multiplying vascular resistance by body surface area.
Normal values for vascular resistance (in dynes-sec-cm-5) are:
SVR: 1,150 ± 300
SVRI: 2,100 ± 500
PVR: 70 ± 40
PVRI: 125 ± 70
Clinically, SVR calculations are commonly used to diagnose and treat patients with hypotension or heart failure, and PVR to evaluate pulmonary arterial hypertension and the suitability of patients with congenital heart disease for cardiac surgery. PVR calculations are also frequently used to determine the severity of PVR in patients with end-stage heart failure being evaluated for heart transplantation and in patients with end-stage liver failure being evaluated for liver transplantation. Because the length of the vascular bed is likely to be constant in any adult patient, changes in SVR and PVR reflect either altered viscosity of blood or a change in the cross-sectional area of the vascular bed. Severe chronic anemia lowers the values for measured vascular resistance. If the hematocrit remains stable, changes in SVR are produced primarily by altered arteriolar tone. Thus, measurement of SVR becomes the basis for hemodynamic evaluation of shock.
Vasodilatory shock, such as in sepsis or adrenal insufficiency, is associated with markedly decreased SVR and normal or increased CO. Cardiogenic and hypovolemic shock usually produce a decreased CO and markedly increased SVR due to intense peripheral vasoconstriction.
In congenital heart disease, the ratio of PVR to SVR is commonly used as a criterion for operability. Normal is <0.25. Moderate pulmonary vascular disease is 0.25 to 0.75, severe is 0.75 to 1.0, and ≥1.0 is generally considered inoperable. Administration of oxygen or vasodilator drugs, such as nitric oxide, helps to differentiate reversible pulmonary vasoconstriction versus permanent obliterative changes in the pulmonary vasculature.
CALCULATION OF VALVE ORIFICE AREA
Proper calculation of stenotic valve orifice area (VOA) is critically important for proper timing of valve surgery and valvuloplasty. The “gold standard” for calculating VOA is the Gorlin formula, which was developed by Dr. Richard Gorlin.
Gorlin Formula
The Gorlin formula relies on measurement of three variables:
1. CO
2. mean pressure gradient
3. flow period (the portion of the cardiac cycle during which pulsatile flow actually occurs)
The diastolic filling period (DFP) is used for the mitral and tricuspid valves, because flow occurs through these valves only during diastole; the systolic ejection period (SEP) is used for the aortic and pulmonic valves. The final formula for the calculation of VOA is
![]()
where VOA is the valve orifice area in cm2, CO the cardiac output (mL/min), DFP the diastolic filling period (s/beat), SEP the systolic ejection period (s/beat), HR the heart rate (beats/min [bpm]), C the empiric constant, and ΔP the pressure gradient. An empiric constant of 0.85 is used for mitral valve calculations, and 1.0 for all other valves.
Hakki Formula
A simplified formula for calculating VOA introduced by Hakki is
![]()
This simplification is based on the fact that, at normal heart rates, the product of heart rate, SEP or DFP, and the Gorlin constant is approximately 1.0 for all patients.1
However, in the presence of tachycardia, the simplified formula may be less useful because the percentage of time/minute spent in systole or diastole changes markedly at higher heart rates. Therefore, Angel introduced a correction for heart rate: the Hakki equation should be divided by 1.35 when the heart rate is <75 bpm with mitral stenosis and >90 bpm with aortic stenosis (AS).2
Aortic Valve Resistance
Aortic valve resistance (AVR) is another method of estimating severity of AS. The simplified method of AVR calculation is
![]()
where (LV-Ao) is the mean aortic valve gradient, 80 the conversion factor to dynes-s-cm-5, CO the cardiac output, and 2.5 assumes that the systolic ejection period comprises 40% of the R-R cycle. Severe AS (aortic VOA <0.7 cm2) corresponds to AVR ≥300 dynes-s-cm-5.
SPECIFIC HEMODYNAMIC EXAMPLES
Mitral Regurgitation
The characteristic atrial pressure waveform in mitral or tricuspid regurgitation consists of an earlier V-wave upstroke, increased amplitude, and a steep Y descent. In severe mitral regurgitation, the V wave may fuse with the C wave, producing a systolic wave (Fig. 45.6). The amplitude of the systolic wave in mitral regurgitation is determined by the severity and acuity of the regurgitation and the size of the atrium. Acute severe mitral regurgitation is often associated with normal atrial size, in which case the atrium is noncompliant and the systolic wave is very high. When the atrium is quite dilated and compliant, as with chronic rheumatic mitral regurgitation, the systolic wave is likely to be much lower in amplitude.

FIGURE 45.6
Mitral Stenosis
Doppler echocardiography of the mitral valve from the transapical position usually provides adequate information to accurately determine the VOA in mitral stenosis. Thus, invasive hemodynamic assessment is rarely needed to quantify the severity of mitral stenosis. However, when accurate echocardiographic imaging and Doppler assessment are unable to be obtained, invasive hemodynamic assessment is usually necessary. Also, catheterization for hemodynamic assessment is indicated when there is a discrepancy between the Doppler-derived gradient and the valve area. Left ventriculography is generally included to evaluate the severity of concomitant mitral regurgitation. The American College of Cardiology/American Heart Association (ACC/AHA) recommendations for catheterization and invasive hemodynamic evaluation in the assessment of mitral stenosis are listed in Table 45.2.
TABLE
45.2 ACC/AHA Indications for Invasive Hemodynamic Assessment in the Evaluation of Mitral Stenosis

From Bonow RO, Carabello BA, Chatterjee K, et al. ACC/AHA Practice Guidelines. ACC/AHA 2006 Guidelines for the Management of Patients With Valvular Heart Disease: A Report of the American College of Cardiology/American Heart Association Task Force on Practice Guidelines (Writing Committee to Revise the 1998 Guidelines for the Management of Patients With Valvular Heart Disease. Circulation 2006;114:e84–e231, with permission.
The typical atrial waveform configuration of mitral or tricuspid stenosis depends on its severity and the pliability of the valve. The characteristic features are elevation of the mean pressure, a diastolic gradient that is higher in early diastole, and a slow Y descent (Fig. 45.7). The A and C waves are increased in amplitude when the valve is pliable.

FIGURE 45.7
The normal mitral valve area is 4.0 to 5.0 cm2. A normal CO of about 5 L/min can be maintained across a mitral valve with only a minimal diastolic gradient until the valve area falls to about 2.0 cm2. When the valve area falls to about 1.0 cm2, the resting gradient increases to about 10 mm Hg with this CO, and substantial increases in the diastolic gradient, and therefore in left atrial and PCW pressures, will occur as the pulse rate rises. Therefore, a mitral valve area of 1.0 cm2 is generally the “critical” area at which intervention may be required. For a large patient, an area of 1.2 may be critical.
Several factors may interfere with accurate determination of mitral valve area, including CO measurements, presence of mitral regurgitation, and the phase delays and amplitude of PCW pressures compared to left atrial pressures.
CO measurements should ideally be made simultaneously with the measurement of pressure gradients. When mitral regurgitation coexists with mitral stenosis, calculations of valve area using only net forward flow will underestimate the actual VOA because they fail to take into account the additional diastolic flow across the valve due to the regurgitation.
PCW pressure is commonly used as a substitute for left atrial pressures to calculate mitral VOA. Some authors suggest that, especially in prosthetic mitral valve stenosis, use of the PCW results in overestimation of transvalvular gradients. Others claim that the PCW pressure is adequate for this purpose, as long as the right heart catheter is properly wedged. To be certain that the transvalvular mitral gradient is not falsely elevated, an atrial transseptal puncture can be performed with insertion of a catheter into the left atrium for direct pressure measurement. For purposes of the Cardiovascular Board Examination, echocardiographic Doppler assessment of the mitral valve is considered the gold standard for valve area assessment when adequate transapical images can be obtained.
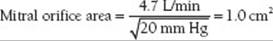
The following is an example of measurements made in a patient with mitral stenosis:
CO = 4,700 mL/min
Heart rate = 80 bpm
Diastolic filling period = 0.4 s/beat
Mean mitral diastolic gradient = 20 mm Hg
From these values, the mitral VOA can be calculated by the Gorlin formula as follows:

The mitral VOA can be calculated by the Hakki formula as follows:
![]()
Aortic Regurgitation
The aortic waveform in chronic severe aortic regurgitation is characterized by a wide pulse pressure, commonly >100 mm Hg, and a low diastolic pressure, often <50 mm Hg. When the pulse is fast, the aortic diastolic pressure tends to be higher and the left ventricular diastolic pressure lower. When the pulse rate is slow, the aortic diastolic pressure falls, and it may become equal to the left ventricular diastolic pressure. Patients with severe aortic insufficiency tolerate bradycardia poorly because of the resulting increase in LV end-diastolic pressure (LVEDP).
Aortic Stenosis
Doppler echocardiography is the most commonly used modality to measure the transvalvular aortic pressure gradient, and it is usually adequate to determine the severity of AS. However, invasive hemodynamic measurement of AS is still the gold standard and it is often necessary. This is particularly true in cases when the clinical symptoms and echocardiography data are discordant. The ACC/AHA guideline recommendations for the use of cardiac catheterization for the assessment of AS are listed in Table 45.3.
TABLE
45.3 ACC/AHA Indications for Invasive Hemodynamic Assessment in the [Evaluation of Aortic Stenosis

From Bonow RO, Carabello BA, Chatterjee K, et al. ACC/AHA Practice Guidelines. ACC/AHA 2006 Guidelines for the Management of Patients With Valvular Heart Disease: A Report of the American College of Cardiology/American Heart Association Task Force on Practice Guidelines (Writing Committee to Revise the 1998 Guidelines for the Management of Patients With Valvular Heart Disease. Circulation 2006;114:e84–e231, with permission.
The aortic waveform in AS is generally characterized by a slow upstroke, but the upstroke may be brisk in elderly patients with stiff, noncompliant vessels. The aortic transval-vular gradient may be expressed as:
1. Peak-to-peak gradient, which uses the maximum left ventricular and maximum aortic pressures. This measurement has no physiologic meaning because the two peaks occur at different times. This gradient approximates the mean gradient in severe AS.
2. Peak instantaneous gradient, which is usually derived from Doppler flow velocity
3. Mean gradient, which represents the planimetered area under the simultaneous aortic–left ventricular curves
Normal aortic valve area is about 3.0 to 4.0 cm2. AS is generally considered severe enough to produce symptoms when the aortic VOA is reduced to <0.8 cm2. In a very large person, for example, someone with a body surface area of >2.2 m2, an orifice area of 0.9 to 1.0 cm2 may be considered severe. Unlike mitral stenosis, in which the transvalvular gradient increases with increasing heart rate, the gradient in AS increases with decreasing heart rate.
Several factors may interfere with accurate determination of aortic VOA, including use of simultaneous left ventricular and peripheral arterial pressures, catheter position in the left ventricular outflow tract, low-flow states, and pullback pressures, especially in the presence of arrhythmias. In addition, aortic VOA calculations in patients with associated severe aortic regurgitation will underestimate the aortic flo w, and therefore the VOA.
Ideally, the aortic valve gradient should be measured simultaneously in the left ventricle and ascending aorta, either with a double-lumen catheter or with separate catheters. Compared to the ascending aorta pressure, the femoral artery pressure wave is delayed and widened, and the peak systolic pressure is amplified. If the femoral artery and ventricular waveforms are aligned, the mean gradient is overestimated by nearly 10 mm Hg. With alignment, the gradient is underestimated by about 10 mm Hg. These errors are of particular significance when the gradient is <50 mm Hg.
Patients with AS who have low CO and a small gradient present a special problem. For instance, a 0.7-cm2 aortic VOA combined with a CO of 3 L/min will produce a gradient of only 20 mm Hg. The Gorlin formula becomes very flow-dependent at COs of <3 to 4 L/min. Maneuvers such as exercise or infusion of an inotropic agent or sodium nitro-prusside may produce a higher CO, which allows calculation of a more reliable VOA. In mild aortic valve disease, the calculated valve area increases, indicating that surgery may not be necessary. In severe AS, the valve area remains small.
Pullback pressures across the aortic valve may introduce errors in calculation of the VOA as a result of respiratory variation or due to transient changes that occur in the systolic pressure during sinus beats that follow a PVC during pullback. In addition, when the VOA is <0.6 cm2, a 7 or 8 French catheter may occupy a significant amount of the remaining VOA, in which case the catheter temporarily increases the severity of the stenosis.
The following is an example of measurements obtained in a patient with AS:
CO = 4,500 mL/min
Heart rate = 72 bpm
Systolic ejection period = 0.33 s/beat
Mean aortic systolic gradient = 50 mm Hg
From these values, the aortic VOA can be calculated as follows:
Aortic orifice area

The aortic VOA can be calculated by the Hakki formula as follows:
![]()
The AVR in this patient can be calculated by the following formula:
![]()
For purposes of the cardiovascular board examination, the Hakki formula should be the only equation necessary to calculate the area of a stenotic aortic valve.
Hypertrophic Obstructive Cardiomyopathy
Hypertrophic obstructive cardiomyopathy (HOCM) produces characteristic hemodynamic changes that may vary greatly with physiologic maneuvers. It is important to understand the underlying physiology of HOCM because there may be no intraventricular gradient at rest, and therefore it is necessary to provoke the gradient during the catheterization procedure. The three principal mechanisms that may provoke an intraventricular gradient in HOCM are:
1. Decreased LV end-diastolic volume (e.g., Valsalva maneuver, nitroglycerin, dehydration, upward tilt, phlebotomy)
2. Increased force or duration of ventricular contraction (e.g., following a PVC, intravenous isoproterenol infusion)
3. Decreased aortic outflow resistance (e.g., amyl nitrite inhalation)
PVCs produce characteristic changes in LV pressure and gradient in HOCM (Fig. 45.8). The peak LV systolic pressure of the sinus beat that follows a PVC is:

FIGURE 45.8 Post-PVC potentiation of LV pressure in a patient with HOCM.
Lower in the normal heart
Higher with left ventricular outflow tract obstruction (HOCM, valvular AS), severe mitral stenosis, and severe dilated cardiomyopathy
A characteristic feature of HOCM that differentiates it from valvular AS is the Brockenbrough sign: with HOCM, the arterial pulse pressure of the sinus beat that follows a PVC is lower than the sinus beat that precedes the PVC (Fig. 45.9); with valvular AS, it is higher. In addition, both the Valsalva maneuver and nitroglycerin increase the gradient in HOCM, but decrease the gradient in valvular AS.

FIGURE 45.9 Brockenbrough sign: Potentiation of LV pressure and decrease in aortic pressure seen after a PVC in patients with HOCM.
Constrictive Physiology
Pericardial tamponade and chronic constrictive pericarditis are the two classic syndromes of constrictive physiology. A third syndrome, effusive-constrictive pericarditis, has intermediate hemodynamic features. All three are characterized by diastolic dysfunction, with impaired atrial and ventricular filling patterns. Clinically, the differentiation of pericardial tamponade and constrictive pericarditis is simple. However, the differentiation of constrictive pericarditis and restrictive cardiomyopathy may be much more difficult, even with the use of modern diagnostic tools.
Pericardial Tamponade
The classic features of pericardial tamponade include:
Elevation and equalization of right and left ventricular diastolic pressures and right and left atrial pressures (Fig. 45.10)
Pulsus paradoxus, that is, exaggerated (>10 mm Hg) inspiratory fall in arterial pressures
Prominent X descent with blunted Y descent
Arterial hypotension, as a late event

FIGURE 45.10 Pressure tracing pullback from the pulmonary artery to the right atrium demonstrating equalization of diastolic pressure seen in pericardial tamponade.
Pulsus paradoxus is a characteristic finding in pericardial tamponade, but it may be found in chronic obstructive pulmonary disease and rarely in pulmonary embolus and in constrictive pericarditis. Pulsus paradoxus in tamponade is associated with narrowing of the pulse pressure during inspiration, but the pulse pressure is normal in chronic pulmonary disease (Fig. 45.11). Pulsus paradoxus may be impossible to detect in a patient with an irregular rhythm such as atrial fibrillation.

FIGURE 45.11
Three phases of cardiac tamponade have been described:
Phase 1. Only intrapericardial and right atrial pressures are elevated.
Phase 2. Elevated intrapericardial pressure produces equilibration of right atrial and right ventricular diastolic pressures, but not PCW (or left ventricular filling) pressure. It is also associated with pulsus paradoxus and a modest decrease in CO.
Phase 3. Elevated intrapericardial pressure results in equilibration of right and left ventricular filling pressures, marked pulsus paradoxus, decreased CO, and hypotension.
Echocardiography is fairly sensitive for the detection of phases 2 and 3 of cardiac tamponade, characterized by right heart chamber collapse during diastole in the presence of pericardial effusion. However, the echocardiogram may fail to detect pericardial tamponade even in patients with phase 3 tamponade, in which the clinical findings are obvious on physical examination.
Constrictive Pericarditis and Restrictive Cardiomyopathy
The classic features of constrictive pericarditis include:
Elevation and equalization of diastolic pressures in all four cardiac chambers
Deep, rapid Y descent (corresponding clinically to Friedreich sign—the abrupt collapse of the jugular vein during diastole)
Attenuation of the X descent, which, in conjunction with the deep Y descent, produces an M or W configuration in the atrial tracing
Elevation of the right atrial mean pressure during inspiration (corresponding clinically to Kussmaul sign—the elevation of jugular venous pressure with inspiration)
“Dip and plateau” pattern in right and left ventricular pressures
RVEDP > one-third the right ventricular systolic pressure (RVSP)
PA systolic pressure <55 mm Hg
Pulsus paradoxus when pericardial pressures are equilibrated with right, but not left, ventricular filling pressures (Fig. 45.12)

FIGURE 45.12
None of these features is diagnostic of constrictive pericarditis. Pulsus paradoxus without a Kussmaul sign is characteristic of cardiac tamponade, whereas Kussmaul sign without pulsus paradoxus is characteristic of pericardial constriction. However, Kussmaul sign and a rapid Y descent in the right atrial pressure tracing may be seen in right ventricular dysfunction of any cause, such as right ventricular infarction and restrictive cardiomyopathy. Kussmaul sign may also occur in respiratory failure, when the systolic and diastolic pressures fall equally with no change in pulse pressure, whereas tamponade produces a fall in systolic pressure and pulse pressure. A dip-and-plateau pattern is not diagnostic of constrictive pericarditis, and it may be absent in constrictive pericarditis if the pulse rate is rapid.
Hemodynamic Criteria
Three hemodynamic criteria, based on respiratory dynamics, have been introduced recently, and they improve accuracy in differentiating constrictive pericarditis from restrictive cardiomyopathy. They are:
Respiratory discordance in early diastolic PCW–LV pressure gradient
Respiratory discordance in left ventricular systolic pressure (LVSP) and RVSP
Systolic Area Index (SAI)
In the normal heart and in restrictive cardiomyopathy, the drop in intrathoracic pressure that occurs with inspiration is transmitted to both the pericardial sac (and therefore the heart) and the pulmonary veins. The effective filling gradient (EFG) between the PCW pressure and the left ventricular diastolic pressure remains nearly constant.
However, in cardiac tamponade and constrictive pericarditis, inspiration decreases both the intrathoracic pressure and the pulmonary venous pressure (and PCW pressure), but does not affect the pressures in the pericardial sac or left ventricular diastolic pressure. This produces a discordance in the EFG: with inspiration, the PCW falls but the LV diastolic pressure does not, resulting in a marked decrease in EFG, which corresponds to the decrease in diastolic flow across the mitral valve seen on the echocardiogram. With expiration, the PCW and the EFG rise and the diastolic flow across the mitral valve increases.
Discordance in the RVSP and LVSP with inspiration may occur because the relatively fixed intracardiac volume imposed by constrictive pericarditis produces ventricular “interdependence” (Fig. 45.13). Because the ventricles in constrictive pericarditis cannot fill independently of one another, the filling of one ventricle impairs the filling of the other. Inspiration augments the diastolic filling of the RV at the expense of the left ventricle, with a shift of the interventricular septum to the left. During inspiration, the RVSP increases due to the increased RV volume, whereas the LVSP decreases.

FIGURE 45.13
The SAI is a quantitative measurement of the difference between the right ventricular systolic area (mm Hg × s) and the left ventricular systolic area (mm Hg × s) with respiration during systole. The SAI is defined as the ratio of the RV systolic area to the LV systolic area in inspiration versus expiration. This is calculated by measuring the RV and LVSP –time integrals at the peak inspiratory beat (defined as the systolic impulse that was preceded by the lowest early diastolic nadir of the LV pressure) and at the peak expiratory beat (defined as the systolic impulse that was preceded by the highest early diastolic nadir of the LV pressure) (Fig. 45.14). When using a threshold of >1.1, the SAI has been found to be 97% sensitive and 100% specific for the diagnosis of constrictive pericarditis.

FIGURE 45.14 Graphic measurement of the systolic pressure-time integrals of the left ventricle (green areas) and right ventricle (yellow areas) at the peak inspiratory beat and the peak expiratory beat. These integrals are used to calculate the systolic area index.
The presence of an irregular rhythm, especially atrial fibrillation, may obscure the respiratory variations that occur in the hemodynamics of constrictive pericarditis. In this case, the varying R-R intervals may be regularized with a temporary pacemaker.
Diagnosis of constrictive pericarditis may also be problematic in a variety of other circumstances:
Severe lung disease with marked respiratory changes
Right ventricular infarction
Severe tricuspid regurgitation
Low filling pressures, for example, due to diuresis. If the filling pressure is <15 mm Hg, constrictive pericarditis can be “unmasked” by rapid infusion of 500 to 1,000 mL of saline resulting in abnormalities in the above parameters.
SUMMARY POINTS FOR THE BOARDS
Optimal intravascular pressure recording requires high-frequency response, proper damping to eliminate overshoot, and accurate zero level.
The Fick CO equals the O2 consumption/A-V Oxygen difference. This method is most accurate when CO is low.
The thermodilution method of CO calculation is most accurate when the CO is high.
The pulmonary to systemic flow ratio in a left-to-right shunt (Qp /Qs) may be estimated by
![]()
Vascular resistance is the ratio of the pressure gradient across a vascular structure (e.g., the pulmonary vasculature) divided by the flow through the structure.
The Hakki formula for calculation of stenotic VOA is
![]()
While this simplified formula tends to be inaccurate when the heart rate is too slow or too fast, it is generally sufficient for accurate calculation of stenotic VOA for purposes of the Cardiovascular Medicine Board Examination.
The measurements of CO should be made at the same time as measurement of the valve gradients in order for the estimation of stenotic VOA to be accurate.
In the presence of concomitant valvular regurgitation, calculations of stenotic aortic and mitral VOA using only net forward flow will underestimate the actual VOA.
Optimal measurement of the stenotic aortic valve gradient requires simultaneous sampling in the LV apex or inflow tract and in the ascending aorta. Pullback pressures and peripheral arterial sampling sites may produce inaccurate results, especially in moderate AS.
Maneuvers that provoke an intraventricular gradient in HOCM include:
1. Decreasing LV end-diastolic volume (e.g., Valsalva maneuver)
2. Increasing the force or duration of contraction (e.g., post-PVC or administering dobutamine)
3. Decreasing aortic outflow resistance (e.g., administering amyl nitrate)
An increase in the LVSP of the sinus beat that follows a PVC is characteristic of HOCM, valvular AS, mitral stenosis, and dilated cardiomyopathy; it is not usually seen in the normal heart.
Pulsus paradoxus is characteristic of phases 2 and 3 of pericardial tamponade.
The SAI is the most sensitive and specific method to diagnose constrictive pericarditis by hemodynamic measurements.
REFERENCES
1. Hakki AH, Iskandrian AS, Bemis CE, et al. A simplified valve formula for the calculation of stenotic cardiac valve areas. Circulation 1981;63:1050–1055.
2. Angel J, Soler-Soler J, Anivarro I, et al. Hemodynamic evaluation of stenotic cardiac valves: II. Modification of the simplified valve formula for mitral and aortic valve area calculation. Cathet Cardiov Diagn. 1985;11:127–138.
SUGGESTED READINGS
Assey ME, Zile MR, Usher B W, et al. Effect of catheter positioning on the variability of measured gradient in aortic stenosis. Cathet Cardiovasc Diagn. 1993;30:287–292.
Baim DS, Grossman W, eds, Cardiac Catheterization, Angiography and Intervention. 5th ed. Philadelphia: Williams & Wilkins; 1996.
Blitz LR, Kolansky DM, Hirshfeld J W. Valve function: stenosis and insufficiency. In: Pepine C, Hill J, Lambert CR, eds. Diagnostic and Therapeutic Cardiac Catheterization. 3rd ed. Baltimore: Williams & Wilkins; 1998:516–540.
Bonow RO, Carabello B, deLeon AC, et al. ACC/AHA guidelines for the management of patients with valvular heart disease. J Am Coll Cardiol. 1998;32:1486–1588.
Hurrell DG, Nishimura RA, Higano ST, et al. Value of respiratory changes in left and right ventricular pressures for the diagnosis of constrictive pericarditis. Circulation 1996;93:2007–2013.
Kegel JG, Schalet BD, Corin WJ, et al. Simplified method for calculating aortic valve resistance: correlation with valve area and standard formula. Cathet Cardiovasc Diagn. 1993;30:15–21.
Kern MJ, ed. Hemodynamic Rounds. New York: Wiley-Liss; 1999.
Lange RA, Hillis LD. Cardiac catheterization and hemody-namic assessment. In: Topol EJ, ed. Textbook of Cardiovascular Medicine. Philadelphia: Lippincott-Raven, 1998:1957–1976.
Lehmann KG, Platt MS. Improved accuracy and precision of thermodilution cardiac output measurement using a dual thermistor catheter system. J Am Coll Cardiol. 1999;33:883–891.
Sigwart U. Automation in Cardiac Diagnosis. The Computer-Assisted Acquisition of Cardiac Catheterization Data. Basel; Schwabe, 1978.
Talreja DR, Nishimura RA, Oh JK, et al. Constrictive Pericarditis in the Modern Era: Novel Criteria for Diagnosis in the Cardiac Catheterization Laboratory. J Am Coll Cardiol.2008;51:315–319.
West JB, Dollery CT, Naimark A. Distribution of blood flow in isolated lung; relation to vascular and alveolar pressures. J Appl Physiol. 1964;19:713–24.
QUESTIONS AND ANSWERS
Questions
1. A 42-year-old woman with exertional dyspnea is found to have a ventricular septal defect with left-to-right shunt and a dilated right ventricle (RV) with severe systolic dysfunction by surface echocardiography. Right heart catheterization is performed and reveals:
Arterial oxygen saturation = 95%
Superior vena cava (SVC) oxygen saturation = 48%
Inferior vena cava (IVC) oxygen saturation = 52%
RA oxygen saturation = 61%
RV oxygen saturation = 78%
PA oxygen saturation = 77%
RA = 12 mm Hg
RV = 62/12 mm Hg
PA = 63/39 (mean 47) mm Hg
PCWP = 14 mm Hg
What is this patient’s pulmonary-to-systemic shunt fraction?
a. 1.8
b. 2.2
c. 2.6
d. 3.0
2. If the patient’s pulmonary flow (Qp) is 11 L/s, what is this patient’s pulmonary vascular resistance (PVR)?
a. 3 dynes-sec-cm-5
b. 30 dynes-sec-cm-5
c. 80 dynes-sec-cm-5
d. 240 dynes-sec-cm-5
3. A patient referred to you for invasive hemodynam-ic evaluation of his aortic valve has the following:
Cardiac output (CO) = 4.5 L/min
Heart rate = 72
SEP = 0.33
Mean aortic gradient = 56 mm Hg
What is the aortic valve area?
a. 0.4 cm2
b. 0.6 cm2
c. 0.8 cm2
d. 1.0 cm2
4. The peak left ventricular systolic pressure of a sinus beat following a PVC is higher than the preceding beat with:
a. Severe dilated cardiomyopathy
b. HOCM
c. Normal heart
d. Severe aortic stenosis (AS)
e. Severe dilated cardiomyopathy, HOCM, and severe AS
5. Which is (are) characteristic of constrictive pericarditis?
a. Right ventricular systolic pressure (RVSP) = 80/10
b. Respiratory discordance in RVSP and left ventricular systolic pressure (LVSP)
c. X-descent deeper than Y-descent in RA
d. All of the choices
6. A patient with exertional dyspnea is referred to you for evaluation. Transthoracic echocardiography reveals no significant valvular abnormalities. Invasive hemodynamic evaluation reveals the following measurements:
Mean RA pressure: 16 mm Hg
RV pressure: 78/16 mm Hg
PA pressure: 78/32 mm Hg
Mean PCWP: 26 mm Hg
LV end-diastolic pressure (LVEDP): 23 mm Hg
LVEF: 65%
CO: 2.9 L/min
Which of the following therapies would most likely benefit this patient?
a. Dobutamine and furosemide
b. Candesartan and furosemide
c. Sildenafil
7. A patient with exertional dyspnea is referred to you for evaluation. Transthoracic echocardiography reveals no significant valvular abnormalities. Invasive hemodynamic evaluation reveals the following measurements:
Mean RA pressure: 16 mm Hg RV pressure: 78/16 mm Hg PA pressure: 78/32 mm Hg Mean PCWP: 9 mm Hg LVEDP: 8 mm Hg LVEF: 65% CO: 2.9 L/min
Which of the following therapies would most likely benefit this patient?
a. Dobutamine and furosemide
b. Candesartan and furosemide
c. Sildenafil
8. A 72-year-old man is referred to you for evaluation of AS. He describes a 1-year history of worsening shortness of breath to the extent that he can no longer climb one flight of stairs without significant dyspnea. Physical examination reveals a blood pressure of 150/96 mm Hg, a diminished carotid upstroke, a late peaking 3/6 systolic murmur at the left superior sternal border, and a soft second heart sound. Transthoracic echocardiogram reveals a calcified aortic valve with a mean pressure gradient of 24 mm Hg; the calculated aortic valve area is 1.2 cm2. What would you recommend?
a. Surgical aortic valve replacement
b. Coronary angiography and aortic valve replacement ± coronary artery bypass grafting
c. Medical treatment of hypertension
d. Invasive hemodynamic study
e. Repeat transthoracic echocardiogram in 6 to 12 months
9. A multipurpose A catheter is slowly withdrawn from the left ventricular apex to the ascending aorta and reveals the waveform (see figure).
These findings are most consistent with which diagnosis?

a. Severe AS
b. Hypertrophic obstructive cardiomyopathy (HOCM)
c. Severe AS with concomitant HOCM
d. Dilated cardiomyopathy
10. A 58-year-old woman with history of moderate mitral stenosis is referred to you for consultation. She has no dyspnea at rest but describes a 2-year history of worsening exertional dyspnea that occurs with minimal house work such as cleaning the dishes. Transthoracic echocardiogram reveals a mildly thickened and calcified mitral valve with a mean pressure gradient of 9 mm Hg and a splittability index of 7; the calculated mitral valve area is 1.2 cm2. What would you recommend?
a. Balloon mitral valvuloplasty
b. Exercise echocardiography
c. Invasive hemodynamic study
d. Repeat transthoracic echocardiogram in 6 to 12 months
Answers
1. Answer C: Pulmonary to systemic shunt fraction (QP/QS) is determined by:

Because a left-to-right shunt exists, the mixed venous oxygen saturation can be calculated by:

and the pulmonary venous oxygen can be approximated using the arterial saturation such that:
![]()
2. Answer D:

3. Answer B: Valve orifice area can be calculated by

4. Answer E: This statement is not true for a normal heart.
5. Answer B: The classic features of constrictive pericarditis include an RSVP <55 mm Hg, respiratory discordance in RVSP and LVSP, and a Y-descent deeper than X-descent in the RA. Thus, only respiratory discordance in RVSP and LVSP is correct.
6. Answer B: This patient has findings consistent with congestive heart failure with preserve systolic function. Candesartan has been shown to improve outcomes in these patients. In addition, the patient’s LVEDP is elevated, thus diuresis with furosemide should improve the patient’s symptoms.
7. Answer C: This patient’s markedly elevated pulmonary pressures with normal LVEDP and PCWP is consistent with true pulmonary arterial hypertension. This patient would most likely benefit from sildenafil therapy.
8. Answer D: This patient has symptoms and physical exam findings consistent with severe AS; however, the echocardiographic findings suggest only moderate AS. An invasive hemodynamic study is the “gold standard” for the assessment of AS. Thus, when AS is suspected and the symptoms, physical exam findings, and echocardiographic findings do not agree, then an invasive hemodynamic study is indicated.
9. Answer B: Slow pull back with an “end-hole” catheter from the left ventricular apex to the ascending aorta reveals two distinct areas with a significant pressure gradient. This is consistent with both true aortic valve stenosis and an HOCM. Of note, performing this test with a pigtail catheter or other “side-hole” catheter could produce erroneous results.
10. Answer B: This patient describes exertion dyspnea suggestive of severe mitral stenosis; however, her echocardiographic findings suggest only moderate mitral stenosis. Because mitral valve gradients are significantly affected by heart rate, it is appropriate to exercise this patient and reassess her mitral valve gradients at peak exercise. Echocardiography is the “gold standard” for the assessment of mitral stenosis, thus, an invasive hemodynamic study is not indicated.