WHAT HAPPENS TO DRUGS IN THE BODY?
In nearly all cases drugs must traverse membranes to reach their site of action. The ease by which a compound crosses membranes is key to assessing the rates and extent of absorption and distribution throughout multiple compartments of the body. This chapter considers factors for assessing how specific drugs cross membranes and what variables are most important.
Drugs are transported throughout the circulatory system, and except for a few targeting techniques, end up at tissues and organs where their presence is beneficial and in some areas where their presence may be detrimental. Because of the potential importance of this problem, special mention is made in this chapter about drug distribution to the brain.
The principal routes by which drugs disappear from the body are by elimination of the unchanged drug or by metabolism to other active or inactive compounds, which are subject to further elimination or metabolism.
Numerous factors influence the rate of delivery, distribution, and disappearance of drug to and from its site of action. All these processes and variables, depicted in Figure 2-1, are described in this chapter.

FIGURE 2–1 Factors influencing drug concentration at its site of action and at different times after administration. The circulatory system is the major pathway for drug delivery to its site of action. Possible entry routes and distribution and disposition sites are also shown.
ABSORPTION AND DISTRIBUTION
Transport of Drugs Across Membranes
Drugs administered orally, intramuscularly, or subcutaneously must cross membranes to be absorbed and enter the systemic circulation. Not all agents need to enter the systemic circulation such as drugs given orally to treat gastrointestinal (GI) tract infections, stomach acidity, and other diseases within the GI tract; however, these agents often cross membranes and are absorbed into the general circulation. Drugs administered by intravenous injection must also cross capillary membranes to leave the systemic circulation and reach extracellular and intracellular sites of action. Even materials directed against platelets or other blood-borne elements must cross membranes. Renal elimination also requires the drugs or metabolites to traverse membranes.
Membranes are composed of a lipid bilayer and are strongly hydrophobic. However, most drugs must have
|
Abbreviations |
|
|
CLh |
Hepatic clearance |
|
CLr |
Renal clearance |
|
CNS |
Central nervous system |
|
CSF |
Cerebrospinal fluid |
|
GI |
Gastrointestinal |
|
Km |
Michaelis constant |
|
NAD(P) |
Nicotinamide adenine dinucleotide (phosphate) |
|
pH |
Logarithm of the reciprocal of the hydrogen ion concentration |
|
pKa |
Logarithm of the reciprocal of the dissociation constant |
|
UDP |
Uridine diphosphate |
|
Vmax |
Maximum rate of reaction |
some affinity for H2O (i.e., hydrophilicity), or they cannot dissolve and be transported to their sites of action by the blood and other body fluids.
Drugs that are uncharged, nonpolar, and have low molecular weight and high lipid solubility are easily transported across membranes. Compounds that are ionized or in which the electronic distribution is distorted so that there is a separation of positive and negative charge imparting polarity are not compatible with the uncharged nonpolar lipid environment. Also, the ordered lipid membrane does not allow for the existence of aqueous pores large enough (>0.4 nm diameter) to allow passage of most drugs (generally >1 nm diameter); thus only low molecular weight molecules can normally pass through membranes. Large molecular weight proteins cannot pass through many membranes, and often, active transport using carrier molecules is required to accomplish transmembrane transport. Most high molecular weight polypeptides and proteins cannot be administered orally because there are no mechanisms for their absorption from the GI tract, even if they could survive the high acidity of or the proteolytic enzymes in the stomach.
Generally, drugs that have high lipid solubility cross membranes better than those with low lipid solubility. This is exemplified in Figure 2-2 for three different barbiturates. The oil/water equilibrium partition coefficient is a measure of lipid solubility, or hydrophobicity. Drug is added to a mixture of equal volumes of oil and H2O, and the mixture is agitated to promote solubilization of the compound in each phase. When equilibrium is attained, the phases are separated and undergo assay for drug. The ratio of the concentration in the two phases is the partition coefficient. Therefore the larger the partition coefficient is, the greater the lipid solubility is. Figure 2-2 shows that absorption across the stomach wall is greater for the barbiturate with the largest lipid solubility.

FIGURE 2–2 Increased lipid solubility influences the amount of drug absorbed from the stomach for three different barbiturates. The number above each column is the oil/water equilibrium partition coefficient. The compounds have roughly equivalent pKa values, so the degree of ionization is similar for all three drugs.
Many drugs are weak acids or bases and take up or release a hydrogen ion. Within some ranges of pH, these drugs will be ionized; in other pH ranges the compounds will be uncharged. The uncharged form of a drug is lipid soluble and crosses biological membranes easily. In the barbiturate example, the compounds were selected so that the pKa of each drug was similar. Otherwise, the differences in absorption could have been caused by varying degrees of ionization of the three compounds. As discussed in the following text, study of the pH influence helps to predict the distribution of a drug between body compartments that differ in pH.
Influence of pH on Drug Absorption and Distribution
Passive diffusion of a drug that is a weak electrolyte is generally a function of the pKa of the drug and the pH of the two compartments, because only the uncharged form of the drug can diffuse across membranes. The pH values of the major body fluids, which range from 1 to 8, are shown in Table 2-1. To predict how a drug will be distributed between gastric juice (pH 1.0) on one side of the membrane and blood (pH 7.4) on the other side, the degree of dissociation of the drug at each pH value is determined.
TABLE 2–1 pH of Selected Body Fluids
|
Fluids |
pH |
|
Gastric juice |
1.0-3.0 |
|
Small intestine: duodenum |
5.0-6.0 |
|
Small intestine: ileum |
8 |
|
Large intestine |
8 |
|
Plasma |
7.4 |
|
Cerebrospinal fluid |
7.3 |
|
Urine |
4.0-8.0 |
An acid is defined as a compound that can dissociate and release a hydrogen ion, whereas a base can take up a hydrogen ion. By this definition, RCOOH and RNH3+ are acids and RCOO–and RNH2 are bases. The equilibrium dissociation expression and the equilibrium dissociation constant (Ka) can be described for an acid HA or BH+ and a base A– or B, as shown below. The convention for Ka requires that the acid appear on the left and the base appear on the right of the dissociation equation as:
(2-1) ![]()
(2-2) ![]()
Taking the negative log of both sides yields:
(2-3) ![]()
(2-4) ![]()
By definition the negative log of [H+] is pH and the negative log of Ka is pKa. Therefore, equations 2-3 and 2-4 can be simplified and rearranged to give:
(2-5) ![]()
(2-6) ![]()
Equations 2-5 and 2-6 are the acid and base forms, respectively, of the Henderson-Hasselbach equation, and they can be used to calculate the pH of the solution when the pKa and the ratios of [A–]/[HA] or [B]/[BH+] are known. In pharmacology it is often of interest to calculate the ratios of [A–]/[HA] or [B]/[BH+] when the pH and the pKa are known. For this calculation, equations 2-5 and 2-6 are rearranged to equations 2-7 and 2-8 as follows:
(2-7) ![]()
(2-8) ![]()
The results are plotted in Figure 2-3 to show the fraction of the nonionized (HA or B) forms. The pKa is the pH when the drug is 50% dissociated. Applying equations 2-7 and 2-8 to an acidic drug with a pKa of 6.0 enables one to calculate the degree of ionization for this drug in the stomach or blood (assuming the blood pH is 7.0 for ease of calculation), as follows:

FIGURE 2–3 Degree of acidic or basic drug in nonionized (uncharged) form (HA, acid; B, base) at different pH values, with pH expressed relative to the drug pKa.
Stomach: 1.0 – 6.0 = log Y; log Y = –5, or Y = 10–5; Y =[A–]/[HA] = 0.00001; if [HA] is 1.0, then [A–] is 0.00001 and the compound is ionized very little.
Blood: 7.0 – 6.0 = log Y; log Y = +1, or Y =10+1; Y = [A–]/[HA] = 10.0; if [HA] is 1.0, then [A–] is 10.0 and the compound is ionized considerably.
Thus the drug is ionized little in stomach but appreciably in blood and should cross easily in the stomach-to-plasma direction but hardly at all in the reverse direction.
Another example is shown in Figure 2-4 for a basic drug. This approach is particularly useful for predicting whether drugs can be absorbed in the stomach, the upper intestine, or not at all. Figure 2-5provides a summary of the effects of pH on drug absorption in the GI tract for several acidic and basic drugs. It also assists in predicting which drugs will undergo tubular reabsorption, which is discussed later.

FIGURE 2–4 Equilibrium distribution of drug when pH is 4 on one side and 7 on the other side of membrane for an acid drug with a pKa of 8.0. Nonionized form, HA, of the drug can readily cross the membrane. Thus HA has the same concentration on both sides of the membrane. The concentration of nonionized drug is arbitrarily set at 10 mg/mL, and the expressions are solved to determine the concentration of ionized species at equilibrium.

FIGURE 2–5 Summary of pH effect on degree of ionization of several acidic and basic drugs. Statements refer to compounds with extremes of pKa values and allow prediction of where drugs with various pKas will be absorbed.
Most drugs are transported across membranes by simple passive diffusion. The concentration gradient across the membrane is the driving force that establishes the rate of diffusion from high to low concentrations. Other mechanisms, including active transport, facilitated diffusion, or pinocytosis, also exist. Active transport involves specific carrier molecules in the membrane that bind to and carry the drug across the lipid bilayer. Because there are a finite number of carrier molecules, they exhibit classical saturation kinetics. Drugs may also compete with a specific carrier molecule for transport, which can lead to drug-drug interactions that modify the time and intensity of action of a given drug. An active transport system may concentrate a drug on one side of a membrane, because cellular energy is used to drive transport, with no dependence on a concentration gradient. The primary active drug transport systems are present in renal tubule cells, biliary tract, blood-brain barrier, and the GI tract.
Distribution to Special Organs and Tissues
The rate of blood flow determines the maximum amount of drug that can be delivered per minute to specific organs and tissues at a given plasma concentration. Tissues that are well perfused can receive a large quantity of drug, provided the drug can cross the membranes or other barriers present. Similarly, tissues such as fat that are poorly perfused receive drug at a slower rate, so the concentration of drug in fat may still be increasing long after the concentration in plasma has started to decrease.
Two compartments of special importance are the brain and the fetus. Many drugs do not readily enter brain. Capillaries in brain differ structurally from those in other tissues, with the result that a barrier exists between blood within brain capillaries and the extracellular fluid in brain tissue. This blood-brain barrier hinders transport of drugs and other materials from blood into brain tissue. The blood-brain barrier is found throughout brain and spinal cord at all regions central to the arachnoid membrane, except for the floor of the hypothalamus and the area postrema. Structural differences between brain and non-brain capillaries, and how these differences influence blood-brain transport of solutes, are shown schematically in Figure 2-6. Non-brain capillaries have fenestrations (openings) between the endothelial cells through which solutes move readily by passive diffusion, with compounds having molecular weights greater than approximately 25,000 daltons (Da) undergoing transport by pinocytosis. In brain capillaries, tight junctions are present because there are no fenestrations, and pinocytosis is greatly reduced. Special transport systems are available at brain capillaries for glucose, amino acids, amines, purines, nucleosides, and organic acids; all other materials must cross two endothelial membranes plus the endothelial cytoplasm to move from capillary blood to tissue extracellular fluid. Thus the main route of drug entry into central nervous system (CNS) tissue is by passive diffusion across membranes, restricting the available compounds used to treat brain disorders. At the same time, the potential deleterious effects of many compounds on the CNS are not realized, because the blood-brain barrier acts as a safety buffer. Generally, only highly lipid-soluble drugs cross the blood-brain barrier, and thus for these drugs no blood-brain barrier exists. In infants and the elderly, the blood-brain barrier may be compromised, and drugs may diffuse into brain.

FIGURE 2–6 Structural differences between non-brain and brain capillaries. In brain capillaries, lack of openings between endothelial cells in capillary wall requires drugs and other solutes to pass through two membranes to move from blood to tissue or the reverse. Ion pumps are mainly on the outer membrane of the brain endothelial cells and maintain a concentration difference between the two fluid regions.
An alternative approach for drug delivery to brain is by intrathecal injection into the subarachnoid space and the cerebrospinal fluid (CSF) using lumbar puncture. However, injection into the subarachnoid space can be difficult to perform safely because of the small volume of this region and the proximity to easily damaged nerves. In addition, drug distribution within the CSF and across the CSF-brain barrier can be slow and show much variability; however, for some drugs there may be no alternate route.
METABOLISM AND ELIMINATION OF DRUGS
The term elimination refers to the removal of drug from the body without chemical changes. For some drugs this is the only route of disappearance; for most drugs only some of the dose is removed unchanged. Elimination occurs primarily by renal mechanisms into the urine, and to a lesser extent by mixing with bile salts for solubilization followed by transport into the intestinal tract. However, in many cases there is reabsorption from the intestine, and highly volatile or gaseous agents may be excreted by the lungs. The terms metabolism and biotransformation refer to the disappearance of a drug when it is changed chemically into another compound, called a metabolite. Some drugs are administered as inactive “prodrugs,” which must be metabolized into a pharmacologically active form. Although drug metabolism occurs for many drugs primarily in the liver, almost all tissues and organs, especially the lung, can also carry out varying degrees of metabolism. A few drugs become essentially irreversibly bound to tissues and are metabolized or otherwise removed over long periods of time. Finally, drugs may be excreted in feces, exhaled through the lung, or secreted through sweat or salivary glands.
Metabolism of Drugs
Drug metabolism involves the alteration of the chemical structure of the drug by an enzyme. When drugs are metabolized, the change generally involves conversion of a nonpolar, lipid-soluble compound to a more polar form that is more H2O soluble and can be more readily excreted in the urine. Some drugs are administered as prodrugs in an inactive or less active form to promote absorption, to overcome potential destruction by stomach acidity, to minimize exposure to highly reactive chemical species, or to allow for selective generation of pharmacologically active metabolites at specific target sites in vivo. In this case drug-metabolizing systems convert the prodrug into a more active species after absorption. In some cases drugs administered as the active species are metabolized to products that are also “active” and produce pharmacological effects similar to or different from those generated by the parent drug. An example is diazepam, an antianxiety compound that is demethylated to an active metabolite. The half-life (t1/2) of the parent drug is approximately 30 hours; the t1/2 of the metabolite averages approximately 70 hours. Thus the effect of the metabolite is present long after the parent drug disappears. Here, the magnitude of the pharmacological effect is much less for metabolite than for parent drug, but, in general, the lingering presence of active metabolites makes control of the intensity of pharmacological effects more difficult. With diazepam, the therapeutic index (ratio of toxic to therapeutic dose) is large enough so that precise control is not required.
For most drugs metabolism takes place primarily in liver, catalyzed by microsomal, and in some cases nonmicrosomal, enzyme systems. However, considerable levels of drug-metabolizing enzymes are found in other tissues, including lung, kidney, GI tract, placenta, and GI tract bacteria.
Although many types of chemical reactions are observed in drug metabolism, most reactions can be categorized into the following four groups:
• Oxidation
• Conjugation
• Reduction
• Hydrolysis
Oxidation and conjugation are the two most important and are discussed further. Simpler examples are given for reduction and hydrolysis.
Oxidation can take place at several different sites on a drug molecule and can appear as one of many chemical reactions. By definition, an oxidation reaction requires the transfer of one or more electrons to a final electron acceptor. Typically, an oxygen atom may be inserted, resulting in hydroxylation of a carbon or a nitrogen atom, oxidation, N- or 0-dealkylation, or deamination. Many drug-oxidation reactions are catalyzed by the cytochrome P450-dependent mixed-function oxidase system. The overall reaction can be summarized as:
![]()
where DH is the drug, NADH or NADPH is a reduced nicotinamide adenine dinucleotide cofactor, and NAD or NADP+ is an oxidized cofactor. In this reaction molecular oxygen serves as the final electron acceptor.
In most cells the cytochrome P450s are associated with the endoplasmic reticulum. More than 50 isoforms of human P450 exist, with various substrate specificities and different mechanisms regulating their expression. This plethora of enzyme systems provides the body with the ability to metabolize large numbers of different drugs. The common feature of P450 substrates is their lipid solubility. Most lipophilic drugs and environmental chemicals are substrates for one or more forms of P450. During the catalytic reaction, when the drug binds to cytochrome P450, the heme iron in the enzyme undergoes a cycle that begins in the ferric oxidation state. The heme iron undergoes reduction to the ferrous state and binds oxygen, and the molecular oxygen bound to the active site is reduced to a reactive form that inserts one oxygen atom into the drug substrate with the other oxygen being reduced to H2O, with the eventual regeneration of the ferric state of the heme iron. Free radical or iron-radical groups are formed at one or more parts of the cycle. The reaction cycle is summarized in Figure 2-7.

FIGURE 2–7 Simplified model of cytochrome P450 mixed-function oxidase reaction sequence. D is the drug undergoing oxidation to produce DOH. Molecular oxygen serves as the final electron acceptor. Flavin protein cofactor (Fp) systems are involved at several sites. The iron of the cytochrome P450 is involved in binding oxygen and electron transfer with changes in valence state.
Typical metabolic reactions involving reduction and hydrolysis of drugs are shown in Figure 2-8. Oxidations, reductions, and hydrolytic reactions are commonly referred to as phase I reactions.

FIGURE 2–8 Representative reduction and hydrolysis reactions for metabolism of drugs.
Conjugation, the second class of reactions to drug metabolism, involves coupling the drug molecule to an endogenous substituent group so that the resulting product will have greater H2O solubility, leading to enhanced renal or biliary elimination. Conjugation reactions, like other metabolic processes, are catalyzed by phase II drug-metabolizing enzymes. In addition, the groups that are being coupled need to be “activated” by the transfer of energy from high-energy phosphate compounds. For example, glucuronic acid can be conjugated by the enzyme UDP-glucuronosyl transferase to compounds of the general types ROH, RCOOH, RNH2, or RSH, where R represents the remainder of the drug molecule. However, glucuronic acid must first be activated by the reaction of glucose-1-phosphate with uridine triphosphate to form UDP-glucose followed by oxidation to activated UDP glucuronic acid. The reaction sequence is shown in Figure 2-9 for the formation of the ROH glucuronide of salicylic acid. Another glucuronide could be formed through conjugation with the RCOOH group. Many drugs, as well as endogenous materials, including bilirubin, thyroxine, and steroids, also undergo conjugation with activated glucuronic acid in the presence of UDP-glucuronosyl transferase. In addition to glucuronate, conjugation may also occur with activated glycine, acetate, sulfate, and other groups besides glucuronate, leading to drug conjugates that will be readily excreted.

FIGURE 2–9 Sequence of reactions for conjugation of salicylic acid to form salicyl phenolic glucuronide. P, Phosphate. The glucuronic acid must first be activated, with glucose-1-phosphate coupling with high-energy UTP to UDP-glucose followed by oxidation to UDP-glucuronic acid before conjugation can occur.
Factors Regulating Rates of Drug Metabolism
The chemical reactions involved in drug metabolism are catalyzed by enzymes. Because these enzymes obey Michaelis-Menten kinetics, the rates of drug metabolism can be approximated by the relationship:
(2-9) ![]()
where:
v = rate of reaction
Vmax = maximum rate of reaction
[S] = concentration of drug
Km = Michaelis constant
Vmax is directly proportional to the concentration of the enzyme. If a change occurs in the concentration of enzyme, there should be a similar change in the rate of metabolism. Because different drugs may be substrates for the same metabolizing enzyme, they can competitively inhibit each other’s metabolism. However, this is usually not a significant problem, because the capacity of the metabolizing system is large, and drugs are usually present in concentrations less than their Km.
Many drugs, environmental chemicals, air pollutants, and components of cigarette smoke stimulate the synthesis of drug-metabolizing enzymes. This process, termed enzyme induction, may elevate the level of hepatic drug-metabolizing enzymes. In most cases the inducers are also substrates for the enzymes they induce. However, the induction is generally nonspecific and may result in increases in the metabolism of a variety of substrates. For example, phenobarbital and the highly reactive air pollutant 3,4-benzo[a]pyrene can increase the rate of oxidation of the CNS muscle relaxant zoxazolamine in animals (Fig. 2-10). Because cigarette smoke contains compounds that can promote induction, chronic smokers have considerably higher levels of some hepatic and lung drug-metabolizing enzymes. Induction of P450 by polycyclic aromatic hydrocarbons in smoke causes female smokers to have lower circulating estrogen than nonsmokers.

FIGURE 2–10 Example of enzyme induction. Zoxazolamine administered by intraperitoneal injection to rats. For induction studies, phenobarbital or 3,4-benzo[a]pyrene was injected twice daily for 4 days before injection of zoxazolamine.
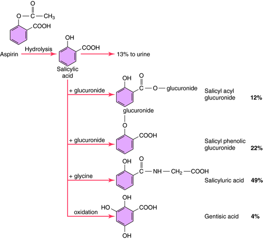
For nearly all drugs, the normal therapeutic range of concentrations is much smaller than the Km. Thus hepatic or other drug-metabolizing enzymes are operating at concentration levels far below saturation, where equation 2-9 reduces to a first-order reaction. Thus drug metabolism typically follows first-order kinetics. An exception is the metabolism of salicylic acid, in which enzyme saturation can occur at elevated drug concentrations. Aspirin (acetylsalicylic acid) is used extensively for the treatment of inflammatory diseases, with the optimum therapeutic concentration only slightly below the concentration where signs of toxicity appear. Aspirin is hydrolyzed to salicylic acid, which in turn has several routes of metabolism before elimination (Fig. 2-11). Two pathways are subject to saturation in humans:
• Conjugation with glycine to form salicyluric acid
• Conjugation with glucuronic acid to form the salicyl phenolic glucuronide

FIGURE 2–11 Disposition of the primary metabolite of aspirin, salicylic acid, at a single dose of 4 g (54 mg/kg of body weight) in a healthy adult. The percentage values refer to the dose. Oxidation produces a mixture of ortho and para (relative to original OH group) isomers.
For enzyme saturation the kinetics become zero order, and the rate of reaction becomes constant at Vmax. This is consistent with equation 2-9, when [S] is much larger than Km. Saturation of drug-metabolizing enzymes has a pronounced influence on drug-plateau concentrations. With zero-order kinetics, elimination rates no longer depend on dose or blood concentration.
Hepatic and Biliary Clearance
Hepatic clearance can be defined as:
(2-10) ![]()
It is the apparent volume of plasma that is cleared of drug by the liver per unit time and has the units of volume/time. Biliary clearance can be similarly defined, with the bile flow rate times the drug concentration in bile a measure of the rate of biliary removal. Direct measurement of hepatic or biliary clearance in humans is not practical because of the difficulty and risk in obtaining appropriate blood samples. The concept of hepatic and biliary clearance is included here to emphasize that the concept of clearance can be applied to any body region or organ system.
A complicating result of the biliary elimination of a drug sometimes occurs when the drug is reabsorbed from the GI tract and returned to the systemic circulation. This is termed enterohepatic cyclingand can result in a measurable increase in the plasma concentration of drug several half lives after the drug was administered and will delay its eventual disposition.
Renal Elimination of Drugs
The removal of drug by the renal route is another process included in “total body clearance,” or the sum of removal by all routes. The same general definition of clearance can be applied to the renal route to define CLr as the volume of plasma that needs to be cleared per unit time to account for the rate of drug removal that takes place in the kidneys. This can be expressed in equation form as:
(2-11) ![]()
For a drug that is removed entirely by renal elimination, such as the antibiotic cephalexin, renal clearance and total body clearance are equal. In this example renal clearance can be determined from plasma data if one plots the log plasma concentration of cephalexin versus time after intravenous injection.
The mechanisms by which the renal clearance of drugs takes place (glomerular filtration, tubular secretion, and tubular reabsorption) are the same as those responsible for the renal elimination of endogenous substances (Fig. 2-12).

FIGURE 2–12 Summary of renal clearance (CL)r mechanisms. Cp , Renal arterial blood concentration of drug; f, fraction of drug in plasma not bound; GFR, glomerular filtration rate of drug; TR, tubular reabsorption of drug; TS, tubular secretion of drug.
Molecules smaller than those of approximately 15Å readily pass through the glomeruli, with approximately 125 mL of plasma cleared each minute in a healthy adult. Because this figure is independent of the plasma concentration, removal by glomerular filtration (mg/min) shows a linear increase with increasing plasma drug concentrations in the renal artery. The glomerular filtration rate of 125 mL/min represents less than 20% of the total renal plasma flow of 650 to 750 mL/min, indicating that only a small fraction of the total renal plasma flow is cleared of drug on each pass through the kidneys. Because albumin and other plasma proteins normally do not pass through the glomeruli, drug molecules that are bound to these proteins are retained. Inulin and creatinine can be used to assess glomerular filtration capability in individual patients because these materials show very little binding to plasma proteins and do not undergo appreciable tubular secretion or reabsorption.
Tubular secretion, a second mechanism for renal clearance, is an active process that occurs in the proximal tubule, with independent and relatively nonspecific carrier systems for secretion of acids and bases. Compounds that are secreted typically undergo glomerular filtration, and thus renal clearance is the sum of both routes. Tubular secretion involves active transport by carriers, and because there are a limited number of carriers, the process can become saturated. The volume of plasma that can be cleared per unit time by tubular secretion varies with the concentration of drug in plasma. This is in contrast to glomerular filtration, where the volume filtered per unit time is independent of plasma concentration. At very low plasma concentrations, tubular secretion can operate at its maximum rate of clearing approximately 650 mL/min. If the concentration of drug in arterial plasma is 4 ng/mL, clearing 650 mL/min removes 2600 ng each minute. If the concentration of the same drug increases to 200 ng/mL and tubular secretion is saturated at 4 ng/mL, the tubules will still remove only 2600 ng/min by secretion; thus the clearance by tubular secretion falls to 13 mL/min. If drug disappearance studies show that the renal clearance is considerably greater than 125 mL/min, tubular secretion must be involved, because glomerular filtration cannot exceed that rate. Tubular secretion removes bound and free drug because tubular transit time can be sufficiently long, such that dissociation from plasma proteins can take place.
The third mechanism affecting renal clearance is reabsorption of filtered or secreted drug from the tubules back into the venous blood of the nephrons. Although this process may be either active or passive, for most drugs it occurs by passive diffusion. Drugs that are readily reabsorbed are characterized by high lipid solubility or by a significant fraction in a nonionized form at urine pH and in the ionized form at plasma pH. For example, salicylic acid (pKa = 3.0) is approximately 99.99% ionized at pH 7.4 (see equation 2-7) but only approximately 90% ionized at pH 4.0. Thus some reabsorption of salicylic acid could be expected from acidic urine. In drug overdose, the manipulation of urine pH is sometimes used to prevent reabsorption. Ammonium chloride administration leads to acidification of the urine; sodium bicarbonate administration leads to alkalinization of the urine. Some additional examples are given in Table 2-2.
TABLE 2–2 Effect of Urine pH on Renal Clearance for Drugs that Undergo Tubular Resorption
|
Bases Cleared Rapidly by Making Urine More Acidic |
Acids Cleared Rapidly by Making Urine More Alkaline |
|
Amphetamine |
Acetazolamide |
|
Chloroquine |
Nitrofurantoin |
|
Imipramine |
Phenobarbital |
|
Levorphanol |
Probenecid |
|
Mecamylamine |
Salicylates |
|
Quinine |
Sulfathiazole |
Modified Renal Function and Drug Elimination
Renal clearance of drugs may be decreased in neonates, geriatric patients, and individuals with improperly functioning kidneys. The effect of patient age on renal clearance of drugs is discussed in Chapter 3. In the case in which it is desirable to administer a drug that is disposed of primarily by renal elimination, and the individual has impaired renal function, the extent of renal function must be determined. Creatinine clearance is the standard clinical determination used to obtain an approximate measure of renal function. To determine the rate of urinary excretion of creatinine, urine is collected over a known period (often 24 hours) and pooled, its volume is measured, and it undergoes assay for creatinine. At the midpoint of the urine collection period, a serum sample is obtained and undergoes assay for creatinine. Creatinine clearance is calculated by dividing the rate of urinary excretion of creatinine (mg/min) by the serum concentration of creatinine (mg/mL), resulting in units of mL/min.
Determination of creatinine clearance provides a measure of glomerular filtration. In addition, the relationship between the rate constant for renal elimination of unchanged drug and creatinine clearance must be demonstrated. For the usual case of first-order renal elimination, that relationship is linear; thus a creatinine clearance of 50% of normal means that renal elimination of this drug would be expected to operate at 50%, and the rate of drug input should be reduced accordingly. For example, a drug administered 100 mg every 6 hours (400 mg in 24 hours) to a patient with normal creatinine clearance could be given 40 mg every 12 hours (80 mg in 24 hours), if the creatinine clearance decreased to only 20% of normal. It is assumed that other pathways for disappearance of this drug retain normal function. Clearance is considered further in Chapter 3.
PHARMACOGENETICS
Variation in drug responses in different people can result from genetic differences in drug disposition. The study of this phenomenon is known as pharmacogenetics. Differences in drug disposition are inherited in a way similar to inborn errors of metabolism. However, patients with pharmacogenetic abnormalities may lead normal lives and never encounter difficulties unless challenged with the drug capable of producing the aberrant response. A nutrient or its metabolite is not involved; rather, the problem is abnormal drug disposition. Pharmacogenetic differences result in either enhancement or reduction in intensity of the drug response, with its duration of action lengthened or shortened.
A plot of the plasma drug concentration curve in a population of patients receiving the same drug dosage results in a normal bell-shaped curve. However, if a genetic factor or factors are involved, the population distribution curve is bimodal (or sometimes multimodal)—an indication of separate populations, one drug sensitive and one less drug sensitive (Fig. 2-13).

FIGURE 2–13 A, Frequency distribution curve shows the normal variability in plasma concentrations when a fixed dose of drug X is administered to a large population of patients. B, Frequency distribution curve under the same conditions with drug Y, indicating a bimodal curve typical of a pharmacogenetic alteration.
Genetic differences in enzyme activity associated with biotransformation of specific drugs is often responsible for differences in pharmacogenetics. An example is acetylation polymorphism. N-Acetylation of aromatic amines and hydrazines is one of several reactions for drug and chemical detoxification. Primary sites for acetylation are the liver and GI mucosa. Differences in N-acetylation were originally recognized in patients with tuberculosis who were treated with isoniazid, a drug metabolized principally by this mechanism. By determining the plasma concentration at a specific time after a fixed dose of isoniazid, patients could be classified as slow or rapid acetylators, indicating that N-acetylating activity is distributed bimodally. Acetylation polymorphisms are now known to influence the metabolism of many drugs and chemicals in addition to isoniazid (Box 2-1). This phenomenon varies widely with race and geographical distribution; 45% of whites and blacks in the United States are slow acetylators, whereas 10% of Asians in the United States are slow acetylators.
BOX 2–1 Some Drugs and Chemicals that Undergo N-Acetylation
Isoniazid
Hydralazine
Procainamide
Dapsone
Sulfonamides
Clonazepam
Nitrazepam
Aminoglutethimide
β-Naphthylamine
Benzidine
Phenelzine
Consequently, acetylation polymorphism has important clinical and toxicological significance. The acetylation phenotype modulates metabolism of drugs with free amino groups such as sulfonamides, hydralazine, procainamide, dapsone, and others. The metabolism of carcinogenic aromatic amines such as benzidine and β-naphthylamine is also altered. Affected too are drugs such as sulfasalazine, clonazepam, and nitrazepam—compounds lacking a free amino group initially but with one introduced during metabolic biotransformation. Slow acetylation is responsible for peripheral neuropathy in patients treated with isoniazid, for lupus erythematosus during procainamide and hydralazine treatment, for hemolytic anemia during sulfasalazine treatment, and for urinary bladder cancer after environmental exposure to benzidine.
A cholinesterase (termed pseudocholinesterase or butyrylcholinesterase) is another drug-metabolizing enzyme genetically altered in plasma and liver. This enzyme catalyzes the hydrolysis of succinylcholine, used as a muscle relaxant during surgery. Some patients hydrolyze a standard dose of succinylcholine more slowly, resulting in prolonged muscle relaxation and an ensuing apnea. These patients have an atypical plasma cholinesterase with an abnormally long duration of drug action resulting from reduced affinity of the aberrant enzyme for succinylcholine. The atypical enzyme gene has a ubiquitous distribution with an allele frequency of approximately 2% in many populations but is rare to undetectable in Africans, Filipinos, Eskimos, and Japanese. An enzyme variant several times more active than the normal enzyme has been reported that results in resistance to normal doses of succinylcholine.
Genetic differences among cytochrome P450s are implicated in differences in clearance of several drug classes. An example is seen in patients treated with the antihypertensive debrisoquine, which is normally hydroxylated to an inactive product in liver. Liver biopsy studies established that patients who were poor metabolizers of debrisoquine were deficient in cytochrome P450 activity, resulting from an ineffective binding of substrate to enzyme. Impaired metabolism of several other drugs is now considered to result from an aberrant or deficient cytochrome P450. These include dextromethorphan, phenytoin, nortriptyline, phenformin, and metoprolol.
Drugs can induce hemolytic anemia in patients genetically deficient in red blood cell glucose-6-phosphate dehydrogenase (Box 2-2). This enzyme, part of the red blood cell hexose monophosphate shunt, is a primary source of reduced NADPH, a cofactor for glutathione reductase. Hemolysis of red blood cells results from the cells’ inability to maintain sufficient reduced glutathione critical for maintaining reduced protein sulfhydryl groups. The oxidized state of glutathione promotes enzyme denaturation and erythrocyte membrane instability. Many glucose-6-phosphate dehydrogenase variants have been identified, and it is estimated that more than 200 million people worldwide have a variant enzyme. These specific examples emphasize the importance of considering genetic variation in evaluating abnormal responses to drugs in patients.
BOX 2–2 Drugs Capable of Inducing Hemolytic Anemia in Glucose-6-Phosphate–Deficient Patients
Chloramphenicol
Chloroquine
Nitrofuran derivatives
p-Aminosalicylic acid
Primaquine
Sulfonamides
Vitamin K analogs
SUMMARY
Understanding the major routes of disposition of a drug and the factors that influence the functionality and capacity of each route can aid profoundly in the safe and effective use of drugs, especially in patients in whom the state of the disease has compromised one or more of the main drug disposition routes.
FURTHER READING
Guengerich FP. Mechanisms of cytochrome P450 substrate oxidation: MiniReview. J Biochem Mol Toxicol. 2007;21:163-168.
Tompkins LM, Wallace AD. Mechanisms of cytochrome P450 induction. J Biochem Mol Toxicol. 2007;21:176-181.
Wilke RA, Lin DW, Roden DM, et al. Identifying genetic risk factors for serious adverse drug reactions: Current progress and challenges. Nat Rev Drug Discov. 2007;6:904-916.
SELF-ASSESSMENT QUESTIONS
1. Cell membranes are composed of:
A. Phospholipids.
B. Receptor proteins.
C. DNA.
D. A and B.
E. All of the above are correct.
2. All of the following tend to lower the plasma concentration of a drug except:
A. Metabolic biotransformation.
B. Renal tubular reabsorption.
C. Binding to plasma proteins.
D. Renal secretion.
E. Biliary excretion.
3. What is the approximate percentage of a weak acid (pKa 5.4) in the nonionized form in plasma having a pH of 7.4?
A. 99%
B. 90%
C. 10%
D. 1%
E. 0.1%
4. Passive diffusion of a drug across a lipid membrane is enhanced if:
A. It is highly polar.
B. It contains a quaternary nitrogen.
C. A substantial gradient exists between extracellular and intracellular concentrations.
D. The drug is H2O soluble and very lipid soluble.
E. C and D are correct.
5. Drug oxidations frequently involve all of the following except:
A. Cytochrome P450 proteins.
B. NADH or NADPH cofactors.
C. Liver endoplasmic reticulum.
D. Esterases.
E. Molecular oxygen.
6. Conjugation reactions:
A. Occur with weak acids but not weak bases.
B. Do not require the presence of drug-metabolizing enzymes.
C. Need activation by high-energy phosphate compounds.
D. Can involve amino acids.
E. C and D are correct.