INTRODUCTION
Viruses, bacteria, other unicellular organisms, and multicellular organisms in the environment can also live in the human body. This relationship can produce desirable and undesirable responses within the host. In a healthy person, normal bacteria in the gastrointestinal tract have beneficial effects, assisting in the production of vitamins and the breakdown of foods. However, when nonbeneficial, pathogenic organisms enter the body through oral ingestion, inhalation, trauma, surgical procedures, or any body opening, the result is an unwanted host-pathogen response, termed an infection. The responses to an infection can occur either directly through the release of toxins or antigens by the invading organism or indirectly through tissue invasion or generation of an inflammatory response by the body. Many infections develop as a result of noninfectious primary diseases that suppress the patient’s natural immune response. However, on a global scale, parasitic infections are the greatest cause of morbidity and mortality worldwide.
Table 45-1 lists the types of pathogenic organisms that invade the human body and cause unwanted biological responses. Treatment of the problems generated by these invasions is approached in two ways: (1) destruction or removal of invading organisms, and (2) alleviation of symptoms. The availability of drugs for successful eradication of invading organisms varies considerably with the type and location of the organisms within the human host.
TABLE 45–1 Pathological Organisms that Can Live in a Parasitic Invader-Host Relationship in Humans, Listed in Order of Increasing Complexity
|
Cell Type |
Organism |
Typical Size (nm) |
|
Acellular |
Viruses |
20-200 |
|
Unicellular |
Chlamydia (P) |
1000 |
|
Mycoplasma (P) |
1000 |
|
|
Rickettsia (P) |
1000 |
|
|
Bacteria (P) |
1000 |
|
|
Fungi: yeasts (E) |
3000-5000 |
|
|
Protozoa (E) |
||
|
Multicellular |
Fungi: molds (E) |
2000-10,000 and larger |
|
Helminths (E) |
P, Prokaryotes (no nuclear membrane); E, eukaryotes (with a nucleus).
The only acellular organisms known to induce infectious diseases in humans are viruses and proteinaceous agents lacking nucleic acids called prions. Other small molecular weight, acellular nucleic acids called viroids can exist in humans but probably do not contribute to disease. Bacteria are unicellular, nonnuclear organisms. Higher orders of size and complexity are found in unicellular, nucleated fungi (including yeast and filamentous forms) and protozoa. Major differences include the addition of a membrane-enclosed nucleus and mitochondria within the cell. More complex fungi are found in the multicellular, nucleated molds (see Chapter 50). Still higher orders of parasitic organisms are helminths (worms), which are estimated to infect 40% to 60% of the world’s population and are a medical problem in both industrialized and developing countries (see Chapter 52).
Viral infections are also a major source of temporary disability and loss of productivity in humans, and some viral infections are fatal. There are still only a few effective
|
Abbreviations |
|
|
CNS |
Central nervous system |
|
CSF |
Cerebrospinal fluid |
|
DNA |
Deoxyribonucleic acid |
|
IM |
Intramuscular |
|
IV |
Intravenous |
|
MBC |
Minimal bactericidal concentration |
|
MIC |
Minimal inhibitory concentration |
|
MRSA |
Methicillin-resistant Staphylococcus aureus |
|
PBP |
Penicillin binding proteins |
|
PO |
Oral |
|
RNA |
Ribonucleic acid |
drugs available to halt proliferation of, or eliminate, clinically important viruses, although this situation is improving. Vaccines have provided the most effective protection against viruses; however, prophylactic use of some antiviral drugs has also proven effective in preventing certain viral infections (see Chapter 51).
The development of antimicrobial therapy is considered by many to be one of the most important advances in the history of medicine. Major historical events leading to the development of antimicrobial therapy are listed in Box 45-1. The term antibiotic traditionally refers to substances produced by microorganisms to suppress the growth of other microorganisms. The term antimicrobial agent is broader in meaning, because it encompasses drugs synthesized in the laboratory and those natural antibiotics produced by microorganisms. Some natural antibiotics produced originally by microbial fermentation are now produced by chemical synthesis. Many agents are semisynthetic; that is, the key portion of the compound is produced by microbial fermentation, and various moieties are attached synthetically. Thus the distinction between the terms antibiotics and antimicrobial agents is somewhat blurred and has little meaning today.
BOX 45–1 History of Antimicrobial Therapy
|
Early 17th Century |
The first recorded successful use of antimicrobial therapy involving the use of an extract from cinchona bark for the treatment of malaria. |
|
1909 |
Paul Ehrlich’s quest for a “magic bullet” that would bind specifically to particular sites on parasitic organisms leads to an arsenic derivative, salvarsan, with modest activity against syphilis. He also suggested that antimicrobial drugs would be most useful if the sites of action were not present in the organs and tissues of the human host. |
|
1929 |
Alexander Fleming discovers penicillin. |
|
1935 |
Discovery of prontosil, a forerunner of sulfonamides. |
|
1940 |
Florey and Chain first use penicillin clinically. |
The efficacy and relative safety of these drugs has led to their widespread use and overuse, with up to 50% of antimicrobials consumed in the United States considered unnecessary. Because of their ability to alter microbial flora and lead to antibiotic-resistant microorganisms, antimicrobials are fundamentally different from other types of drugs. It is important to always remember that the pathogenicity of a bacterial species may mutate with time as new strains appear, existing strains develop resistance, old strains disappear, and new problems emerge with old strains thought to be relatively benign. This complicates planning drug treatment and requires the clinician to stay informed and use these agents wisely.
This chapter presents an overview of the classes of antimicrobial drugs and the principles involved in selecting antimicrobial therapy. Although this chapter focuses on antibacterial agents, many of the principles discussed also apply to antifungal, antiviral, and antiparasitic drugs.
Antimicrobial agents can be classified into major groups according to the point in the cellular biochemical pathways at which they exert their primary mechanism of action (Fig. 45-1). These are:
1. Inhibition of synthesis or damage to the peptidoglycan cell wall
2. Inhibition of synthesis or damage to the cytoplasmic membrane
3. Modification in synthesis or metabolism of nucleic acids
4. Inhibition or modification of protein synthesis
5. Modification in energy metabolism

FIGURE 45–1 Antimicrobial sites of bactericidal or bacteriostatic action on microorganisms. The five general mechanisms comprise (1) inhibition of synthesis of cell wall, (2) damage to cell membrane, (3) modification of nucleic acid/DNA synthesis, (4) modification of protein synthesis (at ribosomes), and (5) modification of energy metabolism within the cytoplasm (at folate cycle). PABA, Paraaminobenzoic acid; DHFA, dihydrofolic acid; THFA, tetrahydrofolic acid.
Agents that inhibit the synthesis of cell walls include the β-lactams, such as penicillins, cephalosporins, monobactams, and carbapenems, and others, such as vancomycin. Inhibitors of cytoplasmic membranes include the polymyxins and daptomycin. In fungi the cell wall is damaged by the polyene antifungal drugs or by the azoles. Inhibitors of nucleic acid synthesis include the quinolones, which inhibit deoxyribonucleic acid (DNA) gyrase, and the ribonucleic acid (RNA) polymerase inhibitor rifampin. Protein synthesis is inhibited by aminoglycosides, tetracyclines, chloramphenicol, erythromycin, clindamycin, linezolid, and streptogramins. These agents are usually bacteriostatic, except the aminoglycosides and sometimes streptogramins, which can be bactericidal. Finally, folate antagonists such as sulfonamides and trimethoprim interfere with cell metabolism. These antimicrobial drugs are listed by their mechanisms of action in Table 45-2.
TABLE 45–2 Classification of Antimicrobial Agents by Mechanism of Action
|
Mechanism of Action |
Agent |
Discussed in Chapter |
|
Inhibition of synthesis or damage to cell wall |
Penicillins |
46 |
|
Cephalosporins |
46 |
|
|
Monobactams |
46 |
|
|
Carbapenems |
46 |
|
|
Bacitracin |
46 |
|
|
Vancomycin |
46 |
|
|
Inhibition of synthesis or damage to cytoplasmic membrane |
Polymyxins |
48 |
|
Amphotericin B |
50 |
|
|
Modification of synthesis or metabolism of nucleic acids |
Quinolones |
48 |
|
Rifampin |
49 |
|
|
Nitrofurans |
48 |
|
|
Inhibition or modification of protein synthesis |
Aminoglycosides |
47 |
|
Tetracyclines |
47 |
|
|
Chloramphenicol |
47 |
|
|
Erythromycin |
47 |
|
|
Clindamycin |
47 |
|
|
Streptogramins |
47 |
|
|
Linezolid |
47 |
|
|
Mupirocin |
47 |
|
|
Modification of energy metabolism |
Sulfonamides |
48 |
|
Trimethoprim |
48 |
|
|
Dapsone |
49 |
|
|
Isoniazid |
49 |
DRUG SELECTION FOR INDIVIDUAL PATIENTS
Major factors to be considered when selecting an antimicrobial agent are outlined in Box 45-2. An understanding of these factors assists with rational selection of an appropriate compound. It is important to keep in mind that each factor is important, but their relative significance may vary from case to case.
BOX 45–2 Factors to Consider When Selecting Antimicrobial Agents for Therapy in Patients
|
Is an antimicrobial agent necessary? Identification of the pathogen Empiric versus directed therapy Susceptibility of infecting microorganism Need for bactericidal versus bacteriostatic agent Pharmacokinetic and pharmacodynamic factors Anatomical site of infection |
|
Cost |
|
Toxicity |
|
Host factors |
|
Allergy history Age Renal function Hepatic function Pregnancy status Genetic or metabolic abnormalities Host defenses, white blood cell function Need for combination therapy Antibiotic resistance concerns |
Is an Antimicrobial Agent Indicated?
Approximately half of antimicrobial agents used in the United States are not necessary. These drugs are often given for viral infections that do not respond to antibiotics, or to treat noninfectious processes mimicking a bacterial infection. Antibiotics are often misprescribed because of culture isolation of an organism that is colonizing an anatomical site and not causing an infection. In general, the clinician should resist beginning antimicrobial therapy unless there is a reasonable probability that a bacterial infection is present. However, the threshold for starting antimicrobial therapy needs to be adjusted depending on the clinical setting. When the downside risk of withholding therapy is great, such as with bacterial meningitis or in clinically unstable patients, therapy should be started without delay, even when the presence of a bacterial infection is uncertain. Another indication for antimicrobials is prophylactic therapy, which is intended to prevent illness in someone at risk of infection.
Identification of the Pathogen
For many infections an attempt should be made to identify the possible pathogen or pathogens before initiating antimicrobial therapy. Specimens for direct inspection and culture should be obtained before therapy is started, because drug therapy can decrease the yield of culture. Gram staining is the fastest, simplest, and most inexpensive method to identify bacteria and fungi. Because a Gram stain can be accomplished quickly, the results can be used to guide the initial antimicrobial choice. Body fluids that are normally sterile should be Gram stained. In addition, stains of wound exudates, sputum, and fecal material can sometimes yield information about the infecting microorganisms.
Empiric versus Directed Therapy
Although every effort should be made to obtain material for laboratory testing, for certain infections including cellulitis, otitis media, and sinusitis, it is often not possible or practical to obtain specimens for Gram stain and culture. In other infections such as pneumonia, the yield of culture material is low. When it is not possible to obtain a specimen, antimicrobial therapy is often started empirically, based on knowledge of the antimicrobial spectrum of an agent and the likely pathogens causing infection at a particular anatomical site.
Empiric therapy is usually broader than therapy directed at a particular pathogen or therapy based on the results of susceptibility testing. However, the use of agents with broad activity disturbs normal bacterial flora to a greater degree than narrow spectrum therapy and may promote the development of antibiotic resistant pathogens. Although empiric therapy is often used early in the course of therapy, the specter of antibiotic resistance and the added costs associated with broad therapy emphasize the importance of narrowing coverage if and when susceptibility testing results become available.
The setting in which an infection occurs should also be considered when selecting empiric therapy. Nosocomial infections, those occurring in the hospital setting, are often caused by antibiotic-resistant bacteria, and the pattern of antibiotic resistance can vary from hospital to hospital. Most hospitals compile an “antibiogram” that lists the susceptibility profiles of common pathogens recovered at that institution. Knowledge of these local resistance patterns is very helpful in directing empiric therapy.
Susceptibility of Infecting Microorganisms
When pathogenic bacteria are isolated in culture, susceptibility to specific antimicrobial agents can be determined. The results of these tests generally are not available until 18 to 48 hours after an initial culture sample has been obtained.
Susceptibility testing is often performed by automated systems based on the broth dilution method in which antibiotics are tested in serial dilutions that encompass the concentrations normally achieved in humans. This method detects the lowest concentration of antimicrobial agent that prevents visible growth after incubation for 18 to 24 hours, referred to as the minimal inhibitory concentration (MIC). The technique is shown in Figure 45-2, A. Deciding whether the results demonstrate that the organisms are susceptible requires an understanding of the pharmacokinetics of the antimicrobial agent, correlations between clinical outcomes and MIC data, and knowledge of the relationship between resistance mechanisms and MICs. Determining the MIC “cutoff” for susceptibility is often not straightforward and is the purview of an international committee. This same test procedure can be extended further to determine the minimal bactericidal concentration (MBC), or minimal concentration that kills 99.9% of cells. In this test samples are removed from the antibiotic-containing tubes in which there is no visible microbial growth and plated on agar that contains no additional antibiotic. The MBC is the lowest concentration of antibiotic in the original tube from which bacteria do not grow on the agar (see Fig. 45-2, B). MBC determinations are no longer used regularly in most clinical laboratories.

FIGURE 45–2 Dilution/agar tests for determination of MIC and MBC for a given drug and microorganism. A, Dilution test: each tube contains 5 × 105 colony-forming units of bacteria, plus antibiotic at the concentration indicated. The MIC is the minimal drug concentration at which no visible growth of bacteria is observed (4 μg/mL in this example). This method has been adapted to automated systems by using a microtiter plate instead of test tubes. B, Dilution/agar test: each tube in A that shows no visible growth is cultured on a section of the new agar plate (no additional antibiotic is added to the agar plate). The MBC is the lowest concentration at which no growth occurs on the agar (32 μg/mL in this example).
Another method for determining bacterial susceptibility to antibiotics is the disk diffusion method, in which disks impregnated with the drugs to be tested are placed on an agar plate freshly inoculated with the bacterial strain in question. After the plates have been incubated for 18 to 24 hours, bacterial growth occurs everywhere except near the disks, where a “zone of inhibition” may be present. If sufficiently large, the zone indicates that the bacterial strain is susceptible to the antibiotic in the disk. This test is simple to perform but is only semiquantitative and not useful for determining the susceptibility of many slow-growing or fastidious organisms; it has been replaced by automated broth dilution systems in many laboratories. The test procedure and typical results are shown in Figure 45-3. A newer and related method is the E-test, which uses a strip containing the antibiotic in a concentration gradient along with a numerical scale instead of a disk. The point where the zone of inhibition touches the strip indicates the MIC (Fig. 45-4).

FIGURE 45–3 Disk diffusion method for testing bacteria for susceptibility to specific antimicrobial agents.

FIGURE 45–4 E-test method for susceptibility testing. The strip impregnated with a gradient of antibiotic is placed on a freshly inoculated agar plate. The point where the border of the zone of inhibition touches the strip defines the MIC (arrow).
Because of the many antimicrobial agents available, it is difficult to routinely test all antimicrobial agents against an isolate. To circumvent this problem, laboratories often use one compound as representative of a class of compounds. It is important to recognize that susceptibility tests require interpretation, are not error-proof, and may fail to identify a resistant subset population.
Need for Bactericidal versus Bacteriostatic Agents
Antimicrobial agents can be bactericidal (i.e., the organisms are killed) or bacteriostatic (i.e., the organisms are prevented from growing) (Fig. 45-5). A given agent may show bactericidal actions under certain conditions but bacteriostatic actions under others, depending on the concentration of drug and the target bacteria. A bacteriostatic agent often is adequate in uncomplicated infections, because the host defenses will help eradicate the microorganism. For example, in pneumonococcal pneumonia, bacteriostatic agents suppress the multiplication of the pneumococci, and the pneumococci are destroyed by interaction with alveolar macrophages and polymorphonuclear leukocytes. For a neutropenic individual, such a bacteriostatic agent might prove ineffective, and a bactericidal agent would be necessary. Thus the status of the host influences whether a bactericidal or bacteriostatic agent is selected.

FIGURE 45–5 Bactericidal versus bacteriostatic antimicrobial agents. A typical culture is started at 105 colony-forming units (CFU) and incubated at 37° C for various times. In the absence of an antimicrobial agent, there is cell growth. With a bacteriostatic agent added, no growth occurs, but neither are the existing cells killed. If the added agent is bactericidal, 99.9% of the cells are killed during the standardized test time.
In addition, because the site of infection influences the ability of certain host defenses to contend effectively with microbes, bactericidal agents are required for management of infections in areas “protected” from host immune responses, such as endocarditic vegetations and cerebrospinal fluid (CSF). In endocarditis, treatment with bacteriostatic antibiotics such as tetracyclines or erythromycin is associated with an unacceptably high failure rate; in contrast, treatment with bactericidal agents such as penicillin is associated with cure rates in excess of 95%. Another example is the need for concentrations of an antimicrobial agent eightfold to tenfold greater than the MBC in the spinal fluid of patients with meningitis to effect a cure. Thus susceptibility is not the only criterion for efficacy.
Pharmacokinetic and Pharmacodynamic Factors
Antimicrobial agents are usually administered by oral (PO), intramuscular (IM), or intravenous (IV) routes. Most agents reach peak serum concentrations 1 to 2 hours after oral administration. However, peak concentrations may be delayed if drugs are ingested with food or in patients with delayed intestinal transit time such as sometimes occurs in diabetics. Peak plasma concentrations are reached in 0.5 to 1 hour after IM injections and 20 to 30 minutes after an IV infusion. Antimicrobial agents vary widely in their oral bioavailability. Some agents including trimethoprim/sulfamethoxazole, fluoroquinolones, rifampin, and metronidazole are almost completely absorbed after oral administration; these drugs can often be used orally even when a severe infection is present. That said, most life-threatening infections are treated, at least initially, with IV agents. Parenteral therapy ensures adequate serum levels, and, for many agents, higher drug levels can be achieved when administered IV.
The amount of antimicrobial agent that reaches the extravascular tissues and fluids where the infection is usually present depends on basic pharmacokinetic principles (see Chapters 2 and Chapter 3). Considerable variation exists among the many antimicrobial agents, and the pharmacokinetic profile of the antimicrobials is an important factor in selecting the proper drug.
Certain antibiotics including fluoroquinolones and aminoglycosides kill bacteria faster at higher concentrations, a property called concentration-dependent killing. These agents also continue to inhibit growth of bacteria for several hours after the concentrations of the drug fall below the MIC in the serum. This is called postantibiotic effect. Agents that exhibit these two properties can often be administered less frequently than would be predicted by their half-life, because drug levels do not have to be above the MIC for the bulk of the dosing interval. Most β-lactam agents do not exhibit concentration-dependent killing, nor do they have a prolonged postantibiotic effect.
Anatomical Site of Infection
The site of infection influences not only the agent prescribed but also the dose, route, and duration of administration. The desired peak concentration of drug at the site of infection should be at least four times the MIC. However, if host defenses are adequate, peak concentrations may be much lower and even equal to the MIC and still be effective. When host defenses are absent or inoperative, peak concentrations 8- to 16-fold greater than the MIC may be required.
Most antimicrobial agents readily enter most body tissues and compartments, except for the CSF, brain, eye, and prostate. By using the parenteral route, concentrations adequate to treat infections of the pleural, pericardial, and joint spaces can be obtained. Certain antibiotics such as aminoglycosides and erythromycin, however, may not be active in abscesses because of the low pH and the reservoir of pus and necrotic debris.
Endocarditis is difficult to treat because bacteria trapped in a fibrin matrix divide slowly, and many antibiotics are effective only on more rapidly growing microorganisms. Therefore antibiotics used in endocarditis must be bactericidal, administered at high concentrations, and administered for prolonged periods so that the antibiotic diffuses into the matrix to kill all bacteria.
Meningitis is also a difficult infection because many antimicrobial agents do not cross the blood-brain or blood-CSF barriers very well (Table 45-3). Therefore infections of the central nervous system (CNS) often require the use of lipid-soluble agents, which easily enter the CSF, such as chloramphenicol, rifampin, and metronidazole. Aminoglycosides are ineffective against CNS infections because they do not enter the CSF even in the presence of inflammation. Penicillins, aztreonam, cephalosporins, and carbapenems enter the CSF to variable degrees in the presence of meningitis. Quinolones such as ciprofloxacin also enter the CSF at concentrations adequate to kill some microorganisms. Vancomycin is active against all pneumococci, and because of possible resistance to other agents, it is used routinely as part of empiric therapy for pneumococcal meningitis. Yet microbiologic failures on vancomycin have been reported, because this agent does not penetrate into the CSF sufficiently to guarantee acceptable bactericidal levels.
TABLE 45–3 Ability of Antibiotics to Enter the Cerebrospinal Fluid in Effective Concentrations
|
Readily Enter CSF |
Enter CSF When Inflammation Present |
Do Not Enter CSF Adequately to Treat Infection |
|
Chloramphenicol |
Penicillin G |
Cefazolin |
|
Sulfonamides |
Ampicillin |
Cefoxitin |
|
Trimethoprim |
Piperacillin |
Erythromycin |
|
Rifampin |
Oxacillin |
Clindamycin |
|
Metronidazole |
Nafcillin |
Tetracycline |
|
Cefuroxime |
Gentamicin |
|
|
Cefotaxime |
Tobramycin |
|
|
Ceftriaxone |
Amikacin |
|
|
Ceftazidime |
||
|
Aztreonam |
||
|
Ciprofloxacin |
||
|
Vancomycin |
||
|
Meropenem |
||
|
Cefepime |
Osteomyelitis is an infection in which prolonged therapy is required. Fewer than 4 weeks of drug administration is usually associated with high rates of failure, because the concentration of antibiotic in bone is often low and the bacteria are sequestered and prevented from coming into contact with the antibiotics.
Antimicrobial drug therapy frequently is ineffective in the presence of a foreign surface such as an artificial joint or a prosthetic heart valve. Many microorganisms growing at a slow rate in a sessile form accumulate on the foreign surface and become covered with a glycocalyx. The coating protects them from attack by leukocytes, and most importantly, from destruction by antimicrobial agents.
Microorganisms also persist in abscesses because circulation is impaired, reducing delivery of antibody, complement, and leukocytes. Moreover, complement is destroyed in abscesses and cannot potentiate the destruction of bacteria by leukocytes. In addition, leukocytes function less effectively in an abscess because of the absence of adequate oxygen and the acidic environment. Bacteria in an abscess frequently grow much more slowly compared with other infection sites and are not as easily killed by antimicrobial agents that are effective when bacteria are rapidly dividing. In some situations the antimicrobial agent is destroyed by enzymes induced by the microorganisms or by enzymes released when the microorganisms are killed by the antibiotic. Antibiotic therapy can rarely cure established abscesses, lesions containing foreign bodies, or infections associated with excretory duct obstruction unless these sites are drained surgically.
Some infections are caused by microorganisms that can survive intracellularly after ingestion by polymorphonuclear phagocytes or macrophages. Mycobacterium, Legionella, and Salmonella species are organisms that can survive within phagocytic cells, and antimicrobial agents that do not penetrate the phagocytic cells often are not successful in eradicating infection caused by these organisms. Compounds such as isoniazid and rifampin are successful in the treatment of Mycobacterium tuberculosis, because these agents enter mononuclear cells in which tubercle bacilli survive, and the antimicrobial agents kill the bacilli within these phagocytic cells.
Bacterial infections associated with obstructions of the urinary, biliary, or respiratory tracts tend to persist despite antibiotic therapy because antimicrobial agents penetrate poorly into these areas. In addition, bacteria present in the obstructed regions are in a quiescent state from which they emerge after antimicrobial therapy is discontinued, and most agents do not kill resting bacteria.
PHARMACOVIGILANCE
Most commonly used antimicrobial agents have favorable safety profiles. Although the potential for toxicity is always a concern, it is generally not the pivotal factor driving the selection process. Because of nephrotoxicity and ototoxicity, aminoglycoside use has decreased with the development of β-lactams and fluoroquinolones with broad gram-negative activity. Unfortunately, the development of antibiotic resistance is beginning to force clinicians to use antimicrobial agents that were once discarded for less toxic alternatives. For example, some strains of Pseudomonas aeruginosa and Acinetobacter spp. have developed resistance to all commonly used agents, which has led to the recycling of parenteral polymyxin B, an agent with considerable toxicity that had not been used by a generation of physicians.
The risk of toxicity of a given drug may be significantly influenced by one or more of the host factors discussed in the following text.
Allergy History
A history of an adverse reaction to an antibiotic is important, because a similar reaction to other members of the same drug class may occur. It is important to characterize the reaction to distinguishintolerance such as gastrointestinal upset from a true allergy and to recognize potentially life-threatening allergic reactions such as anaphylaxis or exfoliative dermatitis. When these serious reactions occur, administration of chemically related compounds should be avoided. Significant allergy appears to be more common with β-lactams, particularly penicillins, and sulfonamides. In anaphylactic reactions to penicillins, the immunoglobulin E antibody is usually directed at the penicillin nucleus, so the potential for allergic reactions to other penicillins is high. For many other allergic reactions, the potential for cross-allergy to related compounds is not known.
Age
Because renal function decreases with age, the dosage or administration interval of renally cleared agents should be adjusted when used in elderly patients. The pH of gastric secretions is also affected by age, and this factor may influence selection of a drug. In addition, certain antibiotics such as the tetracyclines should not be given to children, because they bind to developing teeth and bone. Similarly, sulfonamides should not be given to newborns because they displace bilirubin from serum albumin and can produce kernicterus, a CNS disorder. Finally, common pathogens for certain infections, such as bacterial meningitis, are age dependent, and the age of the patient must be considered when selecting empiric therapy.
Renal Function
The presence of reduced renal function may influence the choice of an antibiotic and the dosage used. Many antimicrobial agents are eliminated from the body by renal filtration or secretion, and some of these agents can accumulate in the body and cause serious toxic reactions unless there is a proper adjustment in dosage in the setting of reduced renal function. Antimicrobial agents that require dosage adjustment include aminoglycosides, vancomycin, certain penicillins, most cephalosporins, carbapenems, and quinolones. Failure to adjust dosage can lead to ototoxicity from aminoglycosides and neurotoxicity from penicillins, imipenem, or quinolones. Aminoglycosides can cause renal toxicity and should be used with caution in patients with preexisting renal insufficiency. Dosage adjustments for agents eliminated by glomerular filtration usually can be estimated on the basis of the patient’s age and body size and on serum creatinine concentration.
Hepatic Function
Antimicrobials metabolized in the liver include chloramphenicol, erythromycin, clarithromycin, rifampin, nitroimidazoles, and some of the quinolones. It may be necessary to reduce the doses of these agents to avert toxic reactions in patients with impaired hepatic function. Chloramphenicol toxicity in newborns stems from the inability of underdeveloped livers to convert the drug to an inactive, nontoxic glucuronide. The resulting toxicity is acutely life-threatening and is classically known as “gray baby syndrome.”
Pregnancy
Almost all antimicrobial agents cross the placenta to some degree and may affect the fetus. With most agents, the greatest risk of teratogenic and toxic effects on the fetus is in the first trimester (Table 45-4). Metronidazole is teratogenic in lower animals, but it is not clear if this drug poses a risk to human fetuses. Other agents such as rifampin and trimethoprim may have a teratogenic potential and should be used only when alternative agents are unavailable. Quinolones cause cartilage abnormalities in animal models. As with some other agents, it is not clear if these effects seen in animals translate to significant human health risks.
TABLE 45–4 Antimicrobial Agents to be Used with Caution or Avoided During Pregnancy
|
Agent |
Potential Toxicity |
|
Aminoglycosides |
Damage to cranial nerve VIII |
|
Chloramphenicol |
Gray baby syndrome |
|
Erythromycin estolate |
Cholestatic hepatitis in mother |
|
Metronidazole |
Possible teratogenicity |
|
Nitrofurantoin |
Hemolytic anemia |
|
Sulfonamides |
Hemolysis in newborn with glucose-6-phosphate dehydrogenase deficiency; increased risk of kernicterus |
|
Tetracyclines |
Limb abnormalities, dental staining, inhibition of bone growth |
|
Trimethoprim |
Altered folate metabolism |
|
Quinolones |
Abnormalities of cartilage |
|
Vancomycin |
Possible auditory toxicity |
Use of tetracyclines in pregnancy should be avoided because they alter fetal dentition and bone growth. Tetracyclines have also been associated with hepatic, pancreatic, and renal damage in pregnant women. Streptomycin has been associated with auditory toxicity in children of mothers treated for tuberculosis. Sulfonamides should not be used in the third trimester of pregnancy because they may displace bilirubin from albumin-binding sites and cause CNS toxicity in the fetus.
Many antibiotics are excreted in breast milk and can cause the newborn’s microflora to be distorted or can act as a sensitizing agent to cause future allergy.
Genetic and Metabolic Factors
Genetic abnormalities of enzyme function may alter the toxicity of certain agents. For example, hemolysis in glucose-6-phosphate dehydrogenase-deficient individuals can be provoked by sulfonamides, nitrofurantoin, pyrimethamine, sulfones, and chloramphenicol. In addition, isoniazid may not be inactivated adequately in people who do not acetylate drugs well (50% of the United States population are slow acetylators), and peripheral neuropathy can develop in such patients unless they are treated with pyridoxine (vitamin B6). Thus pyridoxine is usually prescribed with isoniazid.
Host Defenses
An absence of white blood cells predisposes a patient to serious bacterial infection, and bacteriostatic agents are often ineffective in treating serious infections in neutropenic hosts. The critical white blood cell count is between 500 and 1000 mature polymorphonuclear cells/mm3. Bactericidal agents are also required in the setting of other host defects, such as agammaglobulinemia or asplenia. The latter predisposes patients to pneumococcal or Haemophilus infection. The absence of complement components C7 to C9 predisposes patients to serious infection with Neisseria species. Knowledge of the organisms most frequently causing infections in patients with defects of white blood cells, complement, T cells, or immunoglobulin production aids in the selection of bactericidal agents when fever develops.
ANTIMICROBIAL COMBINATIONS
The reasons for using antibiotic combinations are listed in Box 45-3. Although combination therapy is necessary sometimes, it tends to be overused. Some of the reliance on antibiotic combinations is due to a failure to identify the etiologic agent, forcing continuation of broad empiric therapy.
BOX 45–3 Reasons for Concurrent Use of More than One Antimicrobial Agent in a Patient
|
To treat a life-threatening infection To treat a polymicrobial infection Empiric therapy when no one agent is active against potential pathogens To achieve synergy (obtain enhanced antibacterial activity) To prevent the emergence of resistant bacteria To permit the use of a lower dose of one of the antimicrobial agents |
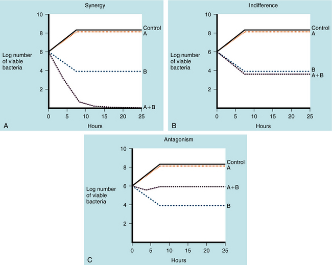
Antimicrobial combinations directed at a single organism are considered to elicit indifferent effects if the combined activity equals the sum of the separate activities. Synergism is present if the activity of the combined antimicrobial agents is greater than the sum of the independent activities. Combinations of antibiotics are antagonistic when the activity of the combination is less than could be achieved by using the agents separately. The “kill curves” illustrating these interactions are shown in Figure 45-6.

FIGURE 45–6 Trends in bacterial viability over time after exposure to two different antimicrobial agents (A and B) demonstrating: synergy (A), indifference (B), and antagonism (C).
The evidence that combination antimicrobial therapy is of value in life-threatening infections has been shown, albeit not consistently, in neutropenic patients. For example, the combination of an antipseudomonal penicillin and an aminoglycoside yielded better survival rates in some studies of patients with Pseudomonas sepsis. The major disadvantages of combination therapy for serious infections are the added cost and the risk of toxicity.
Combination therapy is sometimes used for polymicrobial infections including those occurring at intraperitoneal and pelvic sites. Combination therapy is currently recommended for the empiric treatment of many patients with community-acquired pneumonia to treat both S. pneumoniae and atypical pathogens including Mycoplasma, Chlamydia, and Legionella.
Combination therapy is essential in the treatment of tuberculosis because subpopulations of organisms intrinsically resistant to all first-line agents are present in patients with cavitary disease and a high organism burden. In this setting the use of multiple drugs prevents the resistant organisms from surviving. The ability of combination therapy to prevent development of resistance by other bacteria is less well established.
A synergistic effect has been documented for three combinations of antimicrobials:
• The combination of an inhibitor of cell wall synthesis with an aminoglycoside antibiotic
• The combination of agents acting on sequential steps in a metabolic pathway
• The combination of agents in which one compound (such as an inhibitor of β-lactamases) inhibits an enzyme that inactivates the other compound, such as clavulanate with amoxicillin
A classic example of synergy is the use of penicillin or ampicillin plus an aminoglycoside to treat enterococcal endocarditis. Although penicillins are usually bactericidal, they affect enterococci in a bacteriostatic fashion, with a large difference between the inhibitory and bactericidal concentrations. Aminoglycosides alone are inactive against enterococci because they cannot get inside the cell to reach their ribosomal target site. Penicillins alter the cell wall of enterococci, allowing the aminoglycoside to enter the bacterial cell when both drugs are administered (Fig. 45-7). The combination is bactericidal, and this synergistic effect is critically important in the treatment of enterococcal endocarditis in humans.

FIGURE 45–7 An example of synergy between two antibiotics. A, Penicillin or aminoglycoside is given, but not both; the cells are only inhibited. B, Penicillin and aminoglycoside are given concurrently; penicillin opens holes in the cell wall through which aminoglycosides can enter and reach the ribosomes to halt protein synthesis; therefore the cells are killed.
ANTIBIOTIC DECISION MAKING AFTER THERAPY HAS BEEN INITIATED
The need for ongoing antimicrobial therapy should be reassessed regularly as the patient’s clinical course evolves. Because empiric therapy is often broad, it should always be reevaluated as soon as initial culture results are available (typically within 2 days). The misdemeanor of using an overly broad empiric regimen can be forgiven if, when culture and sensitivity results return, the regimen is refined accordingly. Switching from parenteral to oral therapy is cost effective, and, depending on the infection, should be initiated when the patient’s condition allows. The optimal duration of therapy for many infections is not known; however, some approximate durations are listed in Table 45-5.
TABLE 45–5 Approximate Duration of Antimicrobial Therapy for Common Infections
|
Infection |
Duration (days) |
|
Streptococcal pharyngitis |
10 |
|
Otitis media |
5-10 |
|
Sinusitis |
10 |
|
Uncomplicated urinary tract infection |
3 |
|
Pyelonephritis |
14 |
|
Cellulitis |
3 days after inflammation resolves |
|
Pneumococcal pneumonia |
3-5 days after fever resolves |
|
Other pneumonia |
Variable, often 14 days |
|
Bacteremia |
Variable, often 10-14 days without endocarditis |
|
Endocarditis |
28-42 |
|
Meningitis |
7-14 |
|
Osteomyelitis |
42 |
|
Septic arthritis |
21 |
MONITORING ANTIMICROBIAL THERAPY
Because of the favorable safety profile of most antimicrobial agents, predictable pharmacokinetics, and the ability to achieve serum levels well above MICs, it is usually not necessary to monitor serum antibiotic concentrations. Agents for which serum levels are routinely obtained are those that have serious toxicity or narrow margins of safety, such as aminoglycosides and vancomycin. Measuring serum concentrations of these agents can help ensure that therapeutic and not toxic levels are attained. This is particularly important in patients with diminished renal function as these agents undergo renal elimination and have nephrotoxic potential.
PROPHYLAXIS WITH ANTIMICROBIAL AGENTS
Antimicrobial prophylaxis is the use of an antimicrobial agent to prevent infection. Prophylaxis is often administered immediately after exposure to a virulent pathogen or before a procedure associated with an increased risk of infection. Chronic prophylaxis is sometimes administered to persons with underlying conditions that predispose to recurrent or severe infection. Several concepts are important in determining whether prophylaxis is appropriate for a particular situation. In general, prophylaxis is recommended when the risk of infection is high or the consequences of infection are significant. The nature of the pathogen, type of exposure, and immunocompetence of the host are important determinants of the need for prophylaxis. The antimicrobial agent should be able to eliminate or reduce the probability of infection, or, if infection occurs, reduce the associated morbidity. The ideal agent should be inexpensive, orally administered in most circumstances, have few adverse effects, have a minimal effect on the normal microbial flora, and have limited potential to select for antimicrobial resistance. Consequently, the choice of agents is critical, and the duration of prophylaxis should be as brief as possible; often a single dose is sufficient. The emerging crisis of antibiotic-resistant bacteria underscores the importance of rational, not indiscriminate use of antimicrobial agents.
The efficacy of prophylaxis is well established in situations such as perioperative antibiotic administration before certain surgical procedures, exposure to invasive meningococcal disease, and prevention of recurrent rheumatic fever. To prevent postoperative wound infections, the antimicrobial agent must be present at the surgical site when the area is exposed to the bacteria. The antibiotic should be given immediately preoperatively and should inhibit the most common and important bacteria likely to produce infection. Prophylaxis can be effective without eradication of all bacteria, so it is not essential to administer a broad-spectrum drug.
Prophylaxis is accepted in other situations without supporting data. When the risk of infection is low, such as the occurrence of bacterial endocarditis after dental procedures, randomized clinical trials of prophylaxis are not feasible. However, the consequences of infection may be catastrophic, providing a compelling argument for prophylaxis despite the low risk of infection. People with valvular or structural lesions of the heart, in whom endocarditis is common, should receive antibiotic prophylaxis at the time of surgical, dental, or other procedures that may produce a transient bacteremia. Prophylaxis reduces the number of organisms that could lodge on the valvular tissue and alters the surface properties of the microorganism to reduce their affinity for cardiac tissue. The prophylactic antibiotic should be administered just before the procedure, because limiting exposure minimizes the selection of resistant bacteria. Because viridans group streptococci from the mouth or intestine and enterococci from the intestine or genitourinary tract have a propensity to cause endocarditis, prophylaxis should be directed against these organisms.
Antimicrobial prophylaxis has been advocated after other exposures, including some bite wounds, Haemophilus meningitis, exposure to sexually transmitted diseases, following sexual assault, influenza, and some potential agents of bioterrorism, including anthrax. Prophylaxis can prevent opportunistic infections in persons with AIDS and is sometimes used to prevent postsplenectomy infections, cellulitis complicating lymphedema, and recurrent lower urinary tract infections. Tuberculosis “prophylaxis” should be considered preemptive therapy, because it is typically given to persons already infected withMycobacterium tuberculosis (by virtue of having a positive skin test) in an attempt to prevent clinical disease.
There are many other situations, some controversial, for which antimicrobial prophylaxis is used. When prophylaxis is advocated without data confirming efficacy, there should be a scientific rationale to support the use of a particular antimicrobial agent.
BACTERIAL RESISTANCE
The importance of antibiotic resistance cannot be overstated. The ability of bacteria to develop resistance to all drugs in our armamentarium threatens many of the chemotherapeutic advances of the antimicrobial era. There are several consequences of antibiotic resistance; the most obvious is that treating a patient with an ineffective drug will lead to therapeutic failure or relapse. The development of resistance also forces physicians to use newer, more costly, and sometimes more toxic agents. Resistant bacteria have a competitive advantage over other flora, and under the pressure of heavy antibiotic use can spread in the hospital environment. Most ominously, because of resistance, we now face the prospect of untreatable infections more than any time in the last several decades. The drugs of choice for treating many infections have changed over the years, in large part because of expanding resistance. Knowledge of the resistance patterns of organisms in the community and in the hospital setting helps direct empiric therapy. In addition, recognizing that some bacteria have the propensity to develop resistance to certain antibiotics during a course of treatment should influence antibiotic selection even after the susceptibility profile is known.
Antibiotic resistance can be intrinsic or acquired. For example, Pseudomonas aeruginosa is intrinsically resistant to many antibiotics because of the inability of antibiotics to cross its outer membrane or bind to target sites. Acquired resistance can be due to mutation of existing genetic information or acquisition of new genes. Exchange of genetic information among bacteria is very common and occurs by several mechanisms (Fig. 45-8). Conjugation is the process by which two physically apposed bacteria exchange genetic information, usually contained on plasmids (extrachromosomal pieces of DNA). Resistance-conferring plasmids have been identified in virtually all bacteria. Resistance is also present on transposable genetic elements (transposons or “jumping genes”) that can “jump” to plasmids or become integrated into chromosomes. Certain bacteria are naturally transformable, meaning that they can pick up exogenous DNA from the environment. A third means of genetic exchange is transductionor exchange of DNA via phages or viruses that have tropism for a particular bacterial species. This mechanism is thought to be important in resistance to Staphylococcus aureus.

FIGURE 45–8 Mechanisms of genetic exchange. A, Bacterial conjugation between two physically attached bacteria with exchange of plasmid DNA containing resistance determinant R. B, Transduction with a virus (bacteriophage) carrying resistance determinant R to target bacteria. C, Transformation is the ability of certain bacteria to pick up free DNA from the environment.
The intensive use of antimicrobials is a major factor in development of both chromosomal and plasmid-mediated bacterial resistance. The use of antibiotics, whether in an individual patient or in a hospital, with its special environment and microorganisms, permits proliferation of bacteria that are intrinsically resistant or have acquired resistance. From an epidemiological perspective, plasmid resistance is most important because it is transmissible and may be associated with other properties that enable a microorganism to colonize and invade a susceptible host. These resistant organisms are often transferred from patient to patient on the hands of healthcare workers. Thus a simple but unfortunately underused method to prevent transmission of antibiotic-resistant bacteria is proper hand hygiene before and after all patient contact.
The basic mechanisms of resistance to antimicrobial agents include:
• Development of altered receptors or targets to which the drug cannot bind
• A decrease in the concentration of drug that reaches the receptors (by altered rates of entry or removal of drug)
• Enhanced destruction or inactivation of drug
• Synthesis of resistant metabolic pathways
These mechanisms are depicted in Figure 45-9; examples of each mechanism are listed in Table 45-6. Microorganisms can possess one or more of these mechanisms simultaneously.

FIGURE 45–9 The major mechanisms of bacterial resistance to antibiotics. These mechanisms include (A) altered receptors or targets to which the drug cannot bind, (B) enhanced destruction or inactivation of drug, (C) synthesis of resistant metabolic pathways, and (D)a decrease in the concentration of drug that reaches the receptors (by altered rates of entry or removal of drug).
TABLE 45–6 Resistance Mechanisms of Different Bacteria to Various Antibiotics
|
Antibiotic(s) |
Mechanisms |
Pathogens with Potential for Resistance Development |
|
β-Lactams Penicillins Cephalosporins Monobactams Carbapenems |
Altered penicillin-binding proteins |
Staphylococcus aureus |
|
Coagulase-negative staphylococci |
||
|
Streptococcus pneumoniae |
||
|
Enterococci |
||
|
Neisseria gonorrhoeae |
||
|
Pseudomonas aeruginosa |
||
|
Reduced permeability |
P. aeruginosa |
|
|
Enterobacter cloacae |
||
|
Serratia marcescens |
||
|
Acinetobacter sp. |
||
|
β-Lactamase |
S. aureus |
|
|
Coagulase-negative staphylococci |
||
|
Enterococci |
||
|
P. aeruginosa |
||
|
Enterobacteriaceae |
||
|
N. gonorrhoeae |
||
|
N. meningitides |
||
|
Moraxella sp. |
||
|
Bacteroides sp. |
||
|
Acinetobacter sp. |
||
|
Fluoroquinolones |
Altered DNA gyrase Reduced permeability/efflux |
S. aureus |
|
Enterobacteriaceae |
||
|
Pseudomonas sp. |
||
|
Campylobacter |
||
|
Aminoglycosides Gentamicin Tobramycin Amikacin |
Modifying enzymes Reduced uptake |
Enterococci |
|
Staphylococci |
||
|
Pseudomonas sp. |
||
|
Enterobacteriaceae |
||
|
Streptococci |
||
|
Macrolides/lincosamides Erythromycin Clindamycin |
Methylating enzymes |
Streptococci |
|
S. pneumoniae |
||
|
Staphylococci |
||
|
Enterococci |
||
|
Chloramphenicol |
Acetyltransferase |
Staphylococci |
|
Streptococci |
||
|
S. pneumoniae |
||
|
Enterobacteriaceae |
||
|
Neisseria sp. |
||
|
Tetracyclines |
Efflux |
Staphylococci |
|
Streptococci |
||
|
Enterococci |
||
|
Enterobacteriaceae |
||
|
Bacteroides sp. |
||
|
Rifampin |
Reduced DNA polymerase binding |
Staphylococci |
|
Enterococci |
||
|
M. tuberculosis |
||
|
Folate-inhibitors Trimethoprim/sulfamethoxazole |
Altered targets Reduced permeability |
Staphylococci |
|
Streptococci |
||
|
S. pneumoniae |
||
|
Enterobacteriaceae |
||
|
Campylobacter sp. |
||
|
Glycopeptides Vancomycin |
Altered target |
Enterococci |
|
Staphylococci |
Data from Neu HC. The crisis in antibiotic resistance. Science 1992; 257:1064
Resistance Based on Altered Receptors for Drug
Important examples of this mechanism are the production of altered penicillin-binding proteins (PBP) to which penicillins, cephalosporins, and other β-lactams cannot bind and consequently are unable to inhibit bacterial cell wall synthesis. In reality, it is somewhat misleading to refer to these acquired proteins as PBP, because their virtue to the bacteria is that they resist binding by penicillins. All methicillin-resistant Staphylococcus aureus (MRSA, but a misnomer because MRSA is resistant to all β-lactam agents, and methicillin is no longer used clinically) resists β-lactams because of the acquisition of a novel protein called PBP2a. Although MRSA had been confined to hospitals in the past, it has spread recently to the community setting, and clusters of community-onset MRSA infection have been reported with increasing frequency. Penicillin resistance in Staphylococcus pneumoniae is also due to altered PBPs.
With the exception of vancomycin, resistance to every major class of antibiotics was recognized before or within a few years of introduction for clinical use. Resistance to vancomycin took three decades to develop. The mechanism is complex but involves a change in the target site for the drug on the side chains of cell wall peptidoglycan. This mechanism likely evolved from the Streptomyces that produce glycopeptide antibiotics and is an example of resistance in pathogenic bacteria borrowed from the self-protection mechanism used by the antibiotic-producing organism.
A change of only one amino acid in the β-subunit of the DNA-directed RNA polymerase can confer resistance to rifampin. For this reason rifampin is almost always used in combination with other agents to prevent development of resistance. Resistance to quinolones is usually attributable to an altered DNA gyrase.
Decreased Entry and Enhanced Efflux
A decreased uptake of drug has been described for aminoglycosides, some β-lactams, tetracyclines, and others, whereas an enhanced efflux of drug is the main mechanism of resistance for tetracyclines and has been described for quinolones.
Destruction or Inactivation of Drug
The most widely recognized example of bacterial drug resistance is that of the β-lactamases. These enzymes catalyze the hydrolysis of penicillins, cephalosporins, and other β-lactams, yielding compounds that are unable to bind to bacterial transpeptidases and other enzymes needed for cell wall synthesis and repair. The β-lactamases are discussed in Chapter 46. Other enzymes that inactivate aminoglycosides have also been described.
Synthesis of Resistant Metabolic Pathways
Tetrahydrofolic acid is a cofactor required for the synthesis of thymidine, purines, and bacterial DNA. Some thymidine-requiring streptococci become resistant to compounds that interfere with the synthesis of tetrahydrofolic acid by using an alternate pathway to synthesize thymidine that does not require tetrahydrofolic acid. Thus these resistant bacteria survive exposure to drugs that interfere with normal thymidine synthesis such as trimethoprim and the sulfonamides.
SELECTION OF AN ANTIMICROBIAL AGENT
Antibiotic Activity
The extensive variety of pathogenic bacteria, the numerous antibiotics available, and the significant list of factors to be considered in rationally selecting antibiotic therapy can be confusing for students as well as nonspecialists in infectious diseases. At the risk of oversimplification, an overview of the clinical utility of specific agents and drug classes in treatment of common pathogens and clinical syndromes is listed in Table 45-7. Again, it is important to remember that the drugs and drug classes and susceptible bacteria listed are a simplification and are meant to serve as basic guidelines, not absolute therapeutic choices. For example, not all cephalosporins are active against all gram-positive or gram-negative bacteria, and several gram-negative species are not inhibited by any of the cephalosporins.
TABLE 45–7 Overview of Antibacterial Activity of Major Antibiotics
|
Antibiotics |
Effective Against |
|
Penicillins |
Many gram-positive cocci, some gram-negative |
|
Penicillin/β-lactamase inhibitor |
More gram-positive, gram-negative, anaerobes |
|
Cephalosporins |
|
|
First generation |
Gram-positive, some gram-negative |
|
Second generation |
More gram-negative, similar gram-positive |
|
Third generation |
More gram-negative, less gram-positive; some inhibit Pseudomonas |
|
Fourth generation |
Better gram-positive; more gram-negative (more β-lactamase stable), inhibit Pseudomonas |
|
Carbapenems |
Broad gram-positive, gram-negative, anaerobes |
|
Aztreonam |
Aerobic gram-negative only |
|
Vancomycin |
Gram positive only |
|
Quinolones |
Variable gram-positive, most gram-negative, Mycoplasma, Chlamydia, Legionella |
|
Aminoglycosides |
Aerobic gram-negative bacilli |
|
Tetracyclines |
Aerobic and anaerobic gram-positive and gram-negative Mycoplasma, Chlamydia |
|
Macrolides |
Gram-positive, Mycoplasma, Chlamydia, Legionella |
|
Clindamycin |
Many gram-positive cocci, many anaerobes |
|
Sulfonamides |
Some gram-positive and gram-negative |
|
Rifampin |
Gram-positive (in combination with other agents) |
|
Streptogramins |
Gram-positive |
|
Oxazolidinones |
Gram-positive |
|
Metronidazole |
Anaerobes |
The relative activities of some representative antibiotics against individual microbial species are given in greater detail in Table 45-8. Because the development of antibiotic resistance occurs at variable rates, the relative activities are approximate and subject to change.
TABLE 45–8 Susceptibility of Common Bacteria to Antibiotics*

Bacteria and Anatomical Location
It is estimated that initial antimicrobial therapy is initiated in 75% of cases of bacterial infections before the pathogenic microorganisms have been identified, and that the specific pathogenic organism is never identified in approximately 50% of treated infections. As discussed previously, because empiric therapy is often used in making treatment choices, it is important to be aware of the bacterial strains that may be present at selected anatomical sites. Many times this may be the only meaningful way of guiding the selection of an antibiotic. Table 45-9 lists the common organisms that infect specific anatomical sites, and Table 45-10 groups organisms with the anatomical locations of the infection and the drugs often used for treatment.
TABLE 45–9 Common Microorganisms Causing Infections
|
Otitis Media |
Intraabdominal Sepsis |
|
Streptococcus pneumoniae Haemophilus influenzae Moraxella catarrhalis Viral Sinusitis S. pneumoniae H. influenzae Streptococci Staphylococcus aureus Anaerobes (chronic sinusitis) Viral Pneumonia S. pneumoniae H. influenzae Mycoplasma pneumoniae Chlamydia pneumoniae Legionella pneumophila Klebsiella pneumoniae S. aureus Other gram-negative bacilli Mixed anaerobes Tuberculosis Viral Meningitis Cryptococcus neoformans Group B streptococci Listeria H. influenzae Meningococci S. pneumoniae Diarrhea Salmonella Shigella Campylobacter E. coli Vibrio Yersinia C. difficile Viral |
E. coli Klebsiella Enterobacter Proteus Enterococci Bacteroides Anaerobic streptococci Clostridium sp. Gynecologic Gonococci Chlamydia E. coli Klebsiella Streptococci Bacteroides Urinary tract infection E. coli Klebsiella Proteus Enterococci Staph saprophyticus Pseudomonas Skin Group A streptococci S. aureus Other streptococci Gram-negative rods (rarer) Endocarditis Strep viridans S. aureus Enterococci Coagulase negative staph Gram-negative bacilli Bartonella |
TABLE 45–10 Organisms with Common Infection Sites and Drugs of Choice for Treatment

Most infections can be treated successfully with different antibiotics, and there may be more than one drug that results in successful therapy. When choosing a drug regimen, it is always important to consider the rates of local antibiotic resistance.
FURTHER READING
Anonymous. Choice of antibacterial drugs. Treat Guidel Med Lett. 2007;5:33-50.
Bratzler DW, Houck PM. Antimicrobial prophylaxis for surgery: An advisory statement from the National Surgical Infection Prevention Project. Clin Inf Dis. 2004;38:1706-1715.
Moellering RCJr, Graybill JR, McGowan JEJr, Corey L. Antimicrobial resistance prevention initiative—an update: Proceedings of an expert panel on resistance. Am J Med. 2007;120:S4-S25.
SELF-ASSESSMENT QUESTIONS
1. Methicillin-resistant Staphylococcus aureus (MRSA) is a common nosocomial pathogen that is increasing in frequency in community settings. Which of the following statements best describes the most common mechanism of resistance by S. aureus?
A. Acquisition of the novel protein PBP2a
B. Increased cell wall repair
C. Increased efflux of beta lactams
D. Increased synthesis of metabolic factors
E. Reduced permeability to beta lactams
2. Antibiotics are commonly administered before surgical procedures. Which of the following statements best describes the guidelines for perioperative antimicrobial prophylaxis?
A. Administer the antibiotic just prior to the procedure.
B. Begin antibiotic prophylaxis at least 24 hours before surgery.
C. Include an antifungal in the regimen.
D. Select the broadest spectrum antibiotic for complete coverage.
E. Use antibiotic combinations as opposed to monotherapy.
3. Individuals who are deficient in glucose-6-phosphate dehydrogenase are at a greater risk of developing hemolytic anemia in response to various drugs. Which of the following classes of antibiotics has the greatest potential to result in this adverse effect in these patients?
A. Cephalosporins
B. Macrolides
C. Quinolones
D. Sulfonamides
E. Tetracyclines
4. When using combination antibiotic therapy, it is important to administer drugs that work synergistically if possible. Which of the following represents a combination with known synergism?
A. A β-lactam and an aminoglycoside
B. A penicillin and a cephalosporin
C. Two drugs in which the second drug will displace the first from plasma protein-binding sites.
D. Two drugs that are eliminated by different routes
E. Two drugs that work on the same step in a metabolic pathway
5. Bacteria develop resistance to tetracyclines by which primary mechanism?
A. Altered ribosomal target
B. Bypass pathway in folic acid metabolism
C. Enzymatic inactivation
D. Increased drug efflux
E. Mutations of DNA gyrase gene