MAJOR DRUG CLASSES
Alkylating agents
Antibiotics
Antibodies
Antimetabolites
Plant alkaloids
Therapeutic Overview
Antineoplastic agents are used to treat more than 100 types of neoplastic diseases, with the goal of destroying malignant cells. Additional drugs (see Chapter 55) are used to enhance host defense mechanisms to eradicate those tumor cells not killed by the antineoplastic drugs. In clinical practice nearly all neoplastic diseases are treated by using multiple drugs, although only individual drugs, which form the basis for multiple drug therapy, are discussed in this chapter; multiple-drug protocols are described in Chapter 53.
The effectiveness of antineoplastic drugs varies greatly with the following:
• Type of cancer
• Biological and physiological condition of the patient
• Extent to which the tumor has grown or spread
The end point used to evaluate effectiveness (e.g., tumor response, patient survival) is also important. Most antineoplastic agents, particularly chemotherapeutic agents, are more effective destroying cells that are progressing through the cell cycle (Fig. 54-1) than destroying cells that are resting in the G0 phase. The “growth fraction,” defined in Figure 54-1, is the fraction of cells progressing through the cycle. Besides tumor cells that may be proliferating, there are also some non-neoplastic cells undergoing division, particularly those of hair follicles, bone marrow, and intestinal epithelium. These rapidly dividing cells are especially sensitive to antineoplastic drugs and account for many of their undesirable side effects. It is believed that most, if not all, anticancer drugs kill cells primarily through a programmed, energy-dependent process called apoptosis, rather than through necrosis.

FIGURE 54–1 Growth cycle for mammalian cells. The cells are dormant in the G0 (resting) phase. A variety of stimulants, often of unknown origin in clinical situations, cause cycling of cells to begin by entry into the G1 phase (pre-DNA synthesis). Here, precursors for DNA are formed. DNA synthesis occurs in the S, or synthetic, phase. This is followed by premitotic synthesis and structural developments in the G2 phase. Mitosis occurs in the M phase to produce two cells, each of which can continue to cycle by entry again into G1 or can enter the resting phase, G0. Growth fraction is defined as the total cells in the growth cycle (G1, S, G2, M) divided by the total cells (G1, S, G2, M, G0).
The number of cultured neoplastic cells that survive exposure to each drug typically shows a first-order relationship to the drug concentration (Fig. 54-2). This means that the same fraction of cells is killed with each drug dose and that a series of several doses does not kill 100% of them. This “log-cell kill” hypothesis is compatible with the clinical observation that a functional host immune system is needed for killing all neoplastic cells and curing a patient.

FIGURE 54–2 Decline in viable cells is first order with respect to drug concentration. Many antineoplastic agents and cultured tumor cells follow this relationship, thus establishing the principle of a fixed percentage of viable cells killed per concentration of drug. This same relationship appears to apply in vivo, although the actual situation may be more complex. A threshold concentration of drug is often required to cause a noticeable decrease in cell survival. This phenomenon, called “survival shoulder,” may reflect endogenous repair processes.
|
Abbreviations |
|
|
Ara-C |
Cytarabine |
|
DNA |
Deoxyribonucleic acid |
|
FH4 |
Tetrahydrofolate |
|
5-FU |
5-Fluorouracil |
|
IV |
Intravenous |
|
MESNA |
Sodium 2-mercaptoethane sulfonate |
|
6-MP |
6-Mercaptopurine |
|
MTX |
Methotrexate |
|
RNA |
Ribonucleic acid |
|
6-TG |
6-Thioguanine |
Endogenous cellular defenses, such as thiols or deoxyribonucleic acid (DNA) repair enzymes, however, can necessitate a threshold of drug concentration, or “shoulder,” in the survival curves of patients receiving these drugs (see Fig. 54-2).
Of the four major types of tumors, the faster growing hematological (non-solid) types (leukemias and lymphomas) are more responsive to treatment than are the
|
Therapeutic Overview |
|
Goal |
|
Kill tumor cells selectively with no side effects |
|
Uses |
|
Treatment of systemic disease (curative and palliative) Decrease tumor burden Treatment of carcinomas, sarcomas, leukemias, lymphomas |
|
Effects |
|
Some but not all tumors respond |
|
Considerations |
|
Drug-delivery problems to individual cells Cycling versus noncycling cells log-cell kill (same fraction of cells killed per dose) Need for active immune system (host defenses) to eradicate remaining neoplastic cells Problem of central hypoxic zone of tumors Drug resistance |
slower-growing solid types (carcinomas and sarcomas). Factors responsible for this difference are the more rapid doubling times of hematological malignancies and the greater ease of drug distribution to hematological cells than to solid tumors. Typically, the outer, more recently synthesized portions of many solid tumors are well vascularized and readily accessible to drugs. This is attributable in part to the growth of new blood vessels by angiogenesis. However, the inner and older portions of many solid tumors are hypoxic and often necrotic because angiogenesis is inadequate, making them poorly accessible to drugs. The inner cells may be dead or merely in the resting phase of the cell cycle and therefore still capable of returning to cycling. Delivery of drugs to inner portions of solid tumors is a major unsolved problem.
Antineoplastic drugs must enter the cell to produce cytotoxic effects. Some drugs can pass through the membrane by passive diffusion, with the concentration gradient driving uptake. Other drugs must bind to carrier proteins that transport the drug through the membrane and release it in the cytoplasm; this is especially common with antimetabolites. Such carrier-mediated transport is an active process that is not concentration driven, and the rate of transport is often limited by the fixed number of carrier molecules available.
Once the drug enters the cell and diffuses into the nucleus or other sites, the drug can react with target molecules to disrupt key processes necessary for cell viability. Considerations in the use of antineoplastic agents are in the Therapeutic Overview Box.
Mechanisms of Action
Basic Approaches
The basic mechanisms by which antineoplastic drugs kill tumor cells are summarized in Figure 54-3. Only compounds that show some selectivity for neoplastic cells are used clinically. In general,antimetabolites inhibit DNA synthesis, whereas alkylating agents, intercalators, and antibiotics damage or disrupt DNA, interfere with topoisomerase activity, or alter ribonucleic acid (RNA) structure.Steroids interfere with transcription, several plant alkaloids disrupt mitosis, agents such as asparaginase destroy essential amino acids needed for translation, and other drugs act through important growth factor signal transduction pathways. Many clinically used antineoplastic drugs must undergo either chemical or enzymatic modification to become actively cytotoxic.

FIGURE 54–3 Basic mechanisms by which antineoplastic drugs selectively kill tumor cells. E stands for enzymes, some of which are inhibited by these drugs. Inhibition of DNA or RNA synthesis or replication, production of miscoded nucleic acids, and formation of modified proteins are key mechanisms of action for many of these drugs.
Alkylating Agents
Alkylation refers to the covalent attachment of alkyl groups to other molecules. Alkylating agents came to be used for cancer therapy as a result of observations of the effects of the mustard gases on cell growth. Although these compounds are too toxic for clinical use in cancer, the first effective antineoplastic agents, including mechlorethamine, were developed from related nitrogen mustard alkylating agents and are still used today.
Alkylation takes place through chemical formation of a positively charged carbonium ion that reacts with an electron-rich site, particularly on DNA or RNA, to form modified nucleic acids. Most clinically used alkylating drugs have two active groups, which enable them to form covalent links between adjacent nucleic acid strands that are more difficult to repair than monofunctional adducts. These cross-links also prevent separation of the dual strands of DNA during cell cycling. For maximal kill, it is important to administer the maximally tolerated dose. The alkylation sequence for mechlorethamine reacting with the N-7 position of deoxyguanylate is shown in Figure 54-4. Although many other nucleophilic constituents, including RNA, proteins, and membrane components, become alkylated within cells, it is generally believed that the primary cytotoxic events occur through alkylation of DNA, especially by coupling to the N-7 position of the deoxyguanylates of either single- or double-stranded DNA.

FIGURE 54–4 Alkylation by mechlorethamine, showing positively charged intermediate ion and its covalent attachment to the N-7 position of two deoxyguanylate nucleotides of DNA.
Structures of several clinically used alkylating agents are shown in Figure 54-5. Cyclophosphamide undergoes a combination of enzymatic and chemical activation to form the active phosphoramide mustard alkylating agent (Fig. 54-6). Exposure of cells to cyclophosphamide and other alkylating agents can also lead to carcinogenesis. For example, leukemia is a well-known long-term complication in patients with Hodgkin’s disease treated with a regimen including mechlorethamine.

FIGURE 54–5 Structures of nitrogen mustards and busulfan.

FIGURE 54–6 Mechanism of enzymatic and chemical activation of cyclophosphamide to form active phosphoramide mustard. Acrolein has some antitumor activity but much less than that of the phosphoramide mustard.
Another group of antineoplastic alkylating agents in clinical use is the nitrosoureas. The structures and primary mechanisms of activation for these compounds are shown in Figure 54-7. In addition to alkylation of DNA, the nitrosoureas also cause carbamoylation of proteins, which may play a role in cytotoxicity. The alkylation route, however, is the major source of cytotoxicity. Nitrosoureas are lipophilic and can cross the blood-brain barrier, so they are often used to treat brain tumors.

FIGURE 54-7 Structures and activation pathways for nitrosourea alkylating agents. Carbamoylation of proteins also occurs but is believed to be a lesser cause of cell cytotoxicity than is alkylation of DNA.
Temozolomide is the first new alkylating agent approved for treatment of malignant gliomas in decades. It has a structure similar to dacarbazine and is rapidly absorbed after oral administration. Unlike many other alkylating agents, temozolomide crosses the blood-brain barrier. It methylates guanine and adenine, resulting in misincorporation of thymidine (across from the methylated guanidine), which cannot be easily corrected by the mismatch repair system. Resistance occurs by up regulation of components of the DNA mismatch repair system. Other compounds that form covalent bonds with DNA are cisplatin and its analog carboplatin, whose structures are shown in Figure 54-8. Cisplatin is a square planar complex of platinum with two ammonia molecules and two chloride ions at the corners of the plane. The reaction sequence of the active species is complex and not completely understood. Replacement of a chloride with a hydroxyl must occur before the platinum-nitrogen bond can interact with DNA. Subsequently, the second chloride is aquated and reacts with DNA. The stereochemistry of the complex enables the cis, but not the trans isomer, to form two covalent platinum-nitrogen bonds, primarily at two adjacent deoxyguanylates of DNA. This intrastrand cross-link prevents DNA replication and is cytotoxic. Cisplatin also forms interstrand cross-links and protein-DNA cross-links. Similar DNA cross-links are formed with carboplatin. Oxaliplatin is an organoplatinum compound constructed to overcome resistance to cisplatin by binding the platinum atom to 1,2 diaminocyclohexane.Oxaliplatin undergoes conversion to reactive metabolites that covalently bind to either adjacent guanines, adjacent adenine-guanines, or guanines separated by an intervening nucleotide. This creates interstrand and intrastrand cross-links and inhibits DNA replication and transcription. Oxaliplatin is approved for treatment of metastatic colorectal carcinoma, has activity in lung cancer, and may have activity in breast and esophageal cancers and lymphoma.

FIGURE 54-8 Square planar complex of cis-diamminedichloroplatinum (II), cisplatin, and the platinum derivative, carboplatin.
Several other clinically useful alkylating agents include busulfan, dacarbazine, procarbazine, ifosfamide, and melphalan. The busulfan type of compounds alkylate nucleic acid bases, primarily at the N-7 of guanine, and also alkylate-SH groups of glutathione and protein thiols.
The specific reaction sequences by which dacarbazine or procarbazine alkylate DNA are not well understood. Melphalan is a phenylalanine derivative and is actively transported into the cell by the carriers that transport leucine and glutamine. Melphalan is associated with induction of secondary leukemias. Chlorambucil is structurally similar to melphalan and is used primarily in treatment of chronic lymphocytic leukemia. Ifosfamide, like its analog cyclophosphamide, is activated by hepatic microsomes. Early studies with ifosfamide showed its use was associated with a significant incidence of hemorrhagic cystitis. Ifosfamide is now administered with a systemic thiol, sodium-2-mercaptoethane sulfonate (MESNA). MESNA becomes a free thiol after glomerular filtration and combines with the products responsible for causing the cystitis. Ifosfamide is active against several cancers, including small-cell lung cancer, sarcomas, lymphomas, testicular carcinoma, and gynecological cancers.
Antimetabolites
The antimetabolites are compounds that mimic the structures of normal metabolic constituents including folic acid, pyrimidines, or purines. The antimetabolites inhibit the enzymes necessary for folic acid regeneration or the pyrimidine or purine activation of DNA or RNA synthesis in neoplastic cells. Antimetabolites frequently kill cells in the S phase (see Fig. 54-1). Methotrexate (MTX), 5-fluorouracil (5-FU), cytarabine (Ara-C), 6-mercaptopurine (6-MP), gemcitabine, and 6-thioguanine (6-TG) are the primary antimetabolites used clinically.
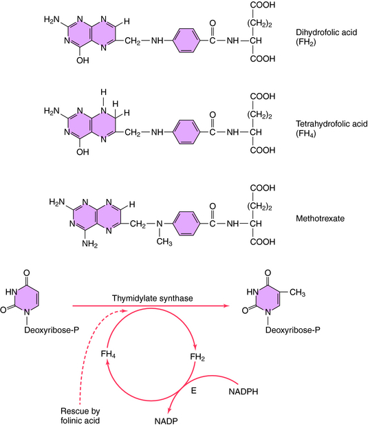
Folic acid is essential for enzymatic reactions that transfer methyl and related groups during purine and pyrimidine synthesis. The antimetabolite MTX competitively inhibits the enzyme dihydrofolate reductase, which catalyzes the reduction of dihydrofolate to tetrahydrofolate (FH4; Fig. 54-9). As a consequence, FH4 regeneration is blocked, and the synthesis of purines and pyrimidines is prevented. MTX is specific for cells in the S phase of the cell cycle. Intracellular addition of several glutamates to MTX greatly enhances its inhibitory activity and also prevents cellular efflux. MTX is more toxic to tumor cells than normal cells, in part because of the greater polyglutamating enzyme activity in tumor cells. Thus a higher concentration of the more active MTX covalently linked to multiple glutamates is trapped within tumor cells, where it acts as an antimetabolite.

FIGURE 54–9 Structures of dihydrofolic acid (FH2), tetrahydrofolic acid (FH4), and methotrexate. The reaction shown is a pyrimidine synthesis (thymidine monophosphate from deoxyuridylic acid) catalyzed by thymidylate synthase and requiring FH4 as cofactor. E is dihydrofolate reductase, which is reversibly inhibited by methotrexate, thus preventing regeneration of FH4 from dihydrofolate (FH2). The rescue path is discussed in the text. The pyrimidines are needed for DNA formation.
Transport of MTX into cells is carrier mediated, and reduced MTX uptake is a prominent mechanism of tumor cell resistance. To overcome limitations of carrier uptake and enhance drug entry by passive diffusion, some investigators have infused high-dose MTX intravenously (IV) over several hours. When high-dose MTX is administered, it is mandatory that it be followed by a “rescue process” of leucovorin (citrovorum factor of N6-formyl-FH4). This is a substitute for FH4, which is believed to enter nonmalignant cells by a carrier-mediated process, enabling purine and pyrimidine synthesis to proceed. The clinical efficacy of this high-dose MTX-leucovorin rescue approach, however, is still under debate.
Pemetrexed is an MTX analog that inhibits several folate-dependent enzymes involved in synthesis of thymidine and purine nucleotides. Pemetrexed is preferentially converted to polyglutamate forms in malignant, as compared with normal cells. Because polyglutamated metabolites have an increased half-life, pemetrexed is most active in malignant cells. Pemetrexed is approved for the treatment of malignant mesothelioma in combination with cisplatin. It also appears, like MTX, to have activity in cervical and breast cancer.
Another antimetabolite, 5-FU, acts primarily by inhibiting pyrimidine synthesis and thus DNA formation. Its structure is shown in Figure 54-10. 5-FU is metabolized to the 5-fluoro analog of deoxyuridylic acid, which inhibits thymidylate synthase by covalent coupling. Capecitabine, an oral fluoropyrimidine, is an inactive precursor of 5-FU. It is converted to 5-FU selectively in the liver and tumor tissues. Evidence suggests that thymidine phosphorylase, the enzyme responsible for the final step in conversion to active 5-FU, is overexpressed in neoplastic tissues.

FIGURE 54–10 Structures of prototype purine and pyrimidine antimetabolites.
Ara-C also acts by inhibiting pyrimidine synthesis but through a more complex pathway (Fig. 54-11). The drug must undergo enzymatic conversion to the active cytosine triphosphate derivative, which is incorporated into DNA. At high doses, Ara-C also binds to and inhibits DNA polymerase competitively. Cytidine deaminase activity is high and deoxycytidylate kinase activity is low in some patients, resulting in considerable inactivation of the drug before conversion to its active form.

FIGURE 54–11 Competing activation and deactivation pathways for conversion of cytosine arabinoside to the active form that inhibits DNA polymerase.
Gemcitabine is another pyrimidine antimetabolite (see Fig. 54-10). It is a prodrug that, once transported into cells, must be phosphorylated by deoxycytidine kinase to an active form that inhibits DNA synthesis. Cell death most likely occurs as a result of blockade of DNA strand elongation. Gemcitabine appears to have activity against adenocarcinoma of the pancreas.
The purine analogs 6-MP and 6-TG (see Fig. 54-10) also must undergo activation to form nucleotides, which then act as competitive inhibitors of several enzymes in purine synthesis pathways. The adenosine deaminase inhibitor pentostatin (2-deoxycoformycin) is highly active against hairy cell leukemia.
Antibiotics
Several antibiotics of microbial origin are very effective in treatment of certain tumors. These antibiotics include doxorubicin, daunorubicin, bleomycin, actinomycin D, and mitomycin. The anthracycline structures of daunorubicin and doxorubicin are shown in Figure 54-12.

FIGURE 54–12 Structures of daunorubicin and doxorubicin.
Bleomycin is a mixture of several basic glycopeptides, with one called A2 predominating. Among the common anticancer drugs, it has a unique mechanism of action in that it forms a tertiary complex with O2 and Fe++ to cause sequence-specific single- and double-stranded DNA cleavage. The double-stranded DNA cleavage that results is thought to be lethal. Doxorubicin and daunorubicin intercalatebetween the bases in double-stranded DNA, poison topoisomerase II, generate free radicals, and possibly disrupt the functioning of the cell membrane. It is generally believed that their poisoning of DNAtopoisomerase II constitutes their major antitumor action (Fig. 54-13). DNA topoisomerase II is essential for DNA replication and catalyzes the uncoiling and breakage of both strands of double-stranded DNA to modify the number and the types of linkage twists. Doxorubicin and daunorubicin inhibit the enzyme by stabilizing a covalent complex of an enzyme-DNA intermediate, preventing the DNA breaks from rejoining and leading to cell death. Doxorubicin is the single most active agent against breast cancer; daunorubicin and idarubicin are frequently used to treat leukemias.

FIGURE 54–13 Mammalian DNA topoisomerase II mechanism and anticancer drug action. Mammalian DNA topoisomerase II binds to DNA (A) forms two different types of protein-DNA complexes that are in rapid equilibrium: the noncleavable complex (B) and the cleavable complex (C). These complexes can be identified in vitro by the ability of detergent or alkali to separate DNA strands. The cleavable complex is transient but is stabilized by doxorubicin, daunorubicin, etoposide, and actinomycin (D). In the absence of drug, DNA strand passage occurs, whereas drugs block DNA strand passage and DNA replication.
Actinomycin D also intercalates into DNA, thus blocking transcription, which is a major source of its antitumor activity. Actinomycin D also causes single-stranded DNA breaks, possibly through production of free radicals, and it prevents synthesis of RNA. Mitomycin undergoes chemical activation in cells, resulting in formation of a derivative that cross-links DNA by alkylation.
Plant Alkaloids
The primary plant alkaloids, vincristine and vinblastine, bind avidly to tubulin, block microtubule polymerization, and disrupt mitotic spindle formation during mitosis at the M phase of the cell cycle (seeFigs. 54-1 and 54-14). Cell death results from an inability to segregate chromosomes properly. Paclitaxel, which acts as a mitotic inhibitor, binds specifically and reversibly to tubulin, but unlike other antitubule drugs, it stabilizes microtubules in the polymerized form. Paclitaxel is active against solid tumors, including ovarian carcinomas. Etoposide is a semisynthetic derivative of podophyllotoxin that is prepared from the mandrake plant (mayapple). Etoposide and teniposide, a close analog, also inhibit topoisomerase II. Etoposide has significant activity against small-cell cancer of the lungs and testicular carcinoma and is used in most first-line regimens for these diseases. Teniposide is active against acute leukemias in children.

FIGURE 54–14 Microtubule dynamics in the presence of vincristine, vinblastine, or paclitaxel. A dynamic steady-state exists, with microtubule assembly occurring at one end and disassembly at the other (A). Vincristine and vinblastine (B) bind to tubulin dimers and block polymerization, allowing disassembly to predominate. In contrast, paclitaxel (C) blocks disassembly, causing stable microtubules to form even in the absence of normally essential cofactors. Cells treated with any of these agents are blocked in mitosis.
Topotecan is a semisynthetic plant alkaloid that inhibits topoisomerase I, thereby leading to single-stranded DNA breaks. Topotecan is used for refractory ovarian cancer and may have activity against small-cell lung cancer.
Irinotecan, a camptothecin derivative, is a prodrug requiring hydrolysis to form an active metabolite that binds to the topoisomerase I-DNA complex. Topoisomerase I relieves strain in DNA by reversibly breaking single strands of the double-stranded DNA helix. Camptothecins are cytotoxic because they combine with the topoisomerase I-DNA complex, stabilizing the structurally protective single-strand breaks induced by topo I and preventing their reconnection. This defect cannot be repaired by replication enzymes, and DNA synthesis is therefore prevented. Irinotecan is approved for treatment of metastatic colorectal carcinoma and may have activity in cervical, non-small-cell lung and gastric cancer.
Others
L-Asparaginase is administered to hydrolyze asparagine, required for growth in higher amounts by tumor cells than by normal cells. Depletion of asparagine shuts off protein and eventually nucleic acid synthesis. This approach is selective for neoplastic cells devoid of asparagine synthetase that are unable to synthesize the essential asparagine.
Hydroxyurea inhibits ribonucleotide reductase, which reduces ribonucleoside diphosphates to the deoxyribonucleotides required for DNA synthesis. It presumably complexes with the non-heme Fe++required by the enzyme for activity and is an S phase-specific agent.
The mechanism of action of arsenic trioxide remains unclear, although the cellular changes it induces suggest that it causes apoptosis. Arsenic trioxide is metabolized by arsenate reductase to trivalent arsenic, which undergoes methylation predominantly within the liver. Trivalent arsenic is excreted in the urine. Arsenic accumulates mainly in liver, kidney, heart, lung, hair, and nails and is approved for therapy of anthracycline-resistant acute promyelocytic leukemia characterized by the presence of specific markers. Arsenic trioxide also appears to have activity in multiple myeloma.
Mechanisms of Resistance
Unfortunately, some patients initially respond favorably to antitumor drugs, but later the tumor may return and the same drugs may be ineffective. In other patients a drug protocol may show few positive results, even though the same protocol has proved beneficial in others. These situations are typical of resistance to antitumor drugs.
In resistant subjects the reduced effectiveness can often be attributed to a decreased intracellular concentration of drug, repair of drug-induced damage, or a modification of drug targets. Increased expression of proteins that block the energy-dependent process of apoptosis, including oncogenes such as BCL2, can also cause resistance to many agents. Several mechanisms account for these differences, as indicated in Box 54-1.
BOX 54–1 Possible Mechanisms for the Development of Resistance to Antineoplastic Agents
Antineoplastic Agent
Decreased uptake of active agent into cancer cell
Failure of agent to be metabolized to a chemical species capable of producing a cytotoxic effect
Enhanced conversion of agent to inactive metabolite
Increase in transport of agent from the cancer cell
Cancer Cell (DNA, Target Enzyme, or Other Macromolecule)
Repair of drug-induced DNA damage
Gene amplification or increased gene transcription leading to greater amount of target enzyme within the cancer cell
Reduced ability of target enzyme to bind agent
Increase in concentration of sulfhydryl scavengers
Altered concentrations of target protein
Increased expression of antiapoptotic genes, such as BCL2
One mechanism of resistance is decreased drug uptake by cells, especially to drugs such as MTX, which requires carrier proteins for transmembrane transport. Actinomycin D resistance also results from decreased uptake. A second mechanism is lack of drug activation. Cyclophosphamide requires metabolic activation, and in the absence of this pathway, tumor cells can be resistant. A third mechanism is the enhanced conversion of the active agent to an inactive metabolite. For example, increased activity of aldehyde dehydrogenase leads to enhanced metabolism of cyclophosphamide and drug resistance.
Enhanced cellular efflux of drug is a fourth mechanism. Mammalian cells possess a large phosphoglycoprotein called P-glycoprotein that acts as an adenosine triphosphate-driven transmembrane transport protein. This P-glycoprotein functions to transport hydrophobic compounds with aromatic and basic properties out of the cell. Doxorubicin, daunorubicin, actinomycin D, etoposide, teniposide, vincristine, and vinblastine are all antitumor drugs to which resistance is manifest by cells possessing elevated concentrations of the multidrug-resistant P-glycoprotein. Intracellular drug concentrations are decreased because of energy-dependent removal by P-glycoprotein. Efforts are underway to develop compounds that can block the action of the P-glycoprotein pumps and circumvent multidrug resistance. Verapamil and other Ca++-channel blockers block the P-glycoprotein pump, but only at unacceptably high doses. Analogs of cyclosporine that lack immunosuppressive properties may be more promising.
A fifth mechanism of resistance is exemplified by bleomycin resistance, in which cells rapidly repair the DNA breaks caused by this drug. DNA repair mechanisms may also be a source of resistance to other DNA-directed antitumor drugs. For example, cells with increased intracellular concentrations of dihydrofolate reductase as a result of gene amplification are resistant to MTX. MTX resistance may also be due to the presence of an altered enzyme that is still enzymatically active but has a lower binding affinity for the drug. For example, MTX is not conjugated with polyglutamates and is therefore not retained within the tumor cell. A higher unconjugated MTX concentration is required to inhibit dihydrofolate reductase. Thus the enzyme is no longer inhibited to the same degree by the usual concentration of MTX.
Sulfhydryl compounds, including glutathione and metallothioneins, act as cellular protective groups scavenging highly reactive compounds. Increased concentrations of these endogenous scavengers may render resistance particularly against alkylating agents. Last, resistance may be attributed to decreased available targets by tumor cells. For example, a decrease in topoisomerase II activity leads to resistance to etoposide and teniposide. Unfortunately, cancer cells often possess multiple pathways for drug resistance that may make therapeutic efforts to block one or two pathways ineffective clinically in reversing resistance.
Pharmacokinetics
Numerous measurements have been performed to determine the plasma concentration decay curves for antitumor drugs. A standard compartment model is used to explain the plasma concentration versus time decay curves. It is a sum of one to three exponentials and is useful in providing guidance in planning dosing schemes that maximize drug tumor contact but minimize drug tissue contact. For antitumor agents that disappear rapidly from the plasma, continuous IV infusion rather than bolus injection often is needed to obtain a high enough concentration to achieve a therapeutic effect. The modes of administration and disposition of several antineoplastic agents are listed in Table 54-1.
TABLE 54–1 Pharmacokinetic Parameters for Selected Drugs

6-Mercaptopurine undergoes enzyme-catalyzed metabolism, with xanthine oxidase as the principal enzyme. Allopurinol, a drug used in the treatment of gout, also is metabolized by the same enzyme, and a drug interaction occurs if the two compounds are given concurrently. Allopurinol also lengthens the half-life of cyclophosphamide and increases myelotoxicity, possibly resulting from the decreased renal elimination of cyclophosphamide metabolites. MTX and weak organic acids such as nonsteroidal antiinflammatory agents compete for plasma binding and for renal tubular excretion, and significant increases in MTX concentrations have been noted in patients receiving these drugs.
The other drugs that undergo metabolism also may show interactions during multiple-drug antitumor dosing, resulting in prolonged plasma concentrations of the involved drugs.
Relationship of Mechanisms of Action to Clinical Response
Most antineoplastic drugs are used in multiple-agent protocols in which the cytolytic effects of the different agents interact in a complex manner. The clinical use of combination chemotherapy is discussed in Chapter 53.
Pharmacovigilance: Side Effects, Clinical Problems, and Toxicity
Typical undesirable side effects of many antitumor drugs are listed in Table 54-2. Many of these side effects reflect actions of the drug on rapidly proliferating normal cells. Nausea and vomiting are quite common and can be attributable to effects on both cycling and noncycling cells. Strategies for ameliorating these effects are available (see Chapter 53).
TABLE 54–2 Typical Undesirable Side Effects of Antineoplastic Drugs in Humans*
|
Tissue |
Undesirable Effects |
|
Bone marrow |
Leukopenia and resulting infections |
|
Immunosuppression |
|
|
Thrombocytopenia |
|
|
Anemia |
|
|
Gastrointestinal tract |
Oral or intestinal ulceration |
|
Diarrhea |
|
|
Hair follicles |
Alopecia |
|
Gonads |
Menstrual irregularities, including premature menarche; impaired spermatogenesis |
|
Wounds |
Impaired healing |
|
Fetus |
Teratogenesis (especially during first trimester) |
* Many of these effects are caused by drug action on nontumor cells that usually are growing (i.e., cycling).
Combinations of different drugs are generally designed on the basis of non-overlapping, dose-limiting toxicities such as those listed in the Clinical Problems Box. These toxicities are unrelated to rapidly proliferating populations of normal cells.
Nephrotoxicity, peripheral neuropathy, and ototoxicity remain the major side effects of cisplatin, although the severity of the renal toxicity can be reduced through hydration of the patient and administration of mannitol (see Chapter 21). Renal damage arises from the toxic effects of cisplatin on renal tubules, resulting in decreased glomerular filtration rates and increased reabsorption. Nephrotoxicity does not develop until a week or two after treatment is begun and may be worsened if nephrotoxic agents are coadministered—for example, if an aminoglycoside is coadministered for treatment of an infection. Cisplatin-induced neuropathy occurs mainly in large sensory fibers and results in numbness and tingling, followed by loss of a sense of joint position and a disabling sensory ataxia. The toxicity is reversed upon discontinuation of the drug, but it may take a year or longer for it to resolve. Nephrotoxicity is more common in patients who receive a bolus injection of cisplatin. Fractionating the dose over several days has been observed to reduce the intensity of this toxicity. Cisplatin neuropathy is a more recently observed cumulative dose-limiting side effect. Carboplatin causes less neurotoxicity and nephrotoxicity but more pronounced myelosuppression than cisplatin.
Bleomycin and busulfan both result in drug-induced pulmonary fibrosis, but this side effect is dose-limited. Fifty percent or more of bleomycin is excreted in the urine unchanged. The dose should be reduced when creatinine clearance drops to less than 30 mL/min (from a standard value of 120 mL/min). Bleomycin accumulates in the lungs and skin, where bleomycin hydrolase (which in other tissues actively metabolizes the drug) is present at very low activity. Continued elevated concentrations of bleomycin leads to the recruitment of lymphocytes and polymorphonuclear leukocytes in bronchoalveolar fluids. It is not known how this leads to fibrosis. Hypersensitivity pneumonitis also is observed in those who receive bleomycin therapy but is less frequent in those who receive MTX, mitomycin C, nitrosoureas, and alkylating agents.
The major side effects of Ara-C are myelosuppression and dose-limiting cerebellar damage. Ocular toxicity also has occasionally been associated with higher doses. Nausea and vomiting are seen in almost all patients receiving higher doses of Ara-C administered to overcome drug transport resistance.
Doxorubicin and daunorubicin are associated with the long-term, dose-limiting side effect of myocardial failure. Although the acute cardiac effects of hypotension, tachycardia, and dysrhythmias are usually not clinically significant, long-term effects leading to congestive heart failure can be life-threatening and necessitate discontinuance of drug therapy. The long-term effects appear after weeks to months of therapy and have been observed up to several years after the discontinuance of treatment, especially in pediatric cancer patients. Thirty-five percent of patients who receive a cumulative dose of more than 600 mg/m2 experience congestive heart failure refractory to medical management. Bone marrow and gastrointestinal toxicity vary with the plasma concentrations of doxorubicin.
Cyclophosphamide, which is metabolized to an active compound and other reactive metabolites (see Fig. 54-6), occasionally causes hemorrhagic cystitis. The risk of this can be largely eliminated through vigorous hydration of patients during treatment. As little as a single IV dose of cyclophosphamide can produce cystitis. MESNA is used as a protectant in patients receiving very high doses of IV cyclophosphamide. The cystitis appears to be caused by acrolein, which is produced as a toxic byproduct of the metabolism of cyclophosphamide. This side effect is not age- or sex-related and leads to a 9 to 45 times greater risk of bladder cancer. The risk of bladder cancer is not as great in those given cyclophosphamide orally as opposed to IV.
The main side effect of MTX, vinblastine, etoposide, and 5-FU is bone marrow suppression. Vinca alkaloids such as vincristine can cause peripheral neuropathy, but this is a less frequent problem with etoposide (or vinblastine) therapy.
CLINICAL PROBLEMS
Arsenic Trioxide
Cytopenia, nausea, vomiting, diarrhea, hepatotoxicity, prolongation of the QT interval, cardiac arrhythmias including torsades de pointes and complete heart block, acute promyelocytic leukemia differentiation syndrome, and sudden death
Bleomycin
Pulmonary fibrosis (“bleomycin lung”)
Busulfan
Pulmonary fibrosis (“busulfan lung”)
Doxorubicin
Cardiotoxicity
Edatrexate
Stomatitis, nausea, vomiting, diarrhea, hepatotoxicity, pulmonary toxicity, and rash
Cisplatin
Nephrotoxicity and peripheral neuropathy
Oxaliplatin
Peripheral neuropathy, hypersensitivity, pulmonary fibrosis (rare), and abdominal pain
Cyclophosphamide
Hemorrhagic cystitis
Vincristine
Neurotoxicity
Irinotecan
Diarrhea (early and late), nausea and vomiting, cholinergic syndrome, myelosuppression
Cytarabine
Cerebral damage
Nearly all antineoplastic drugs have side effects that patients consider very objectionable.
New Horizons
There have been enormous advances in our understanding of the molecular and cellular biology of cancer. As a result, a large number of new targets have become available, including targets associated with oncogenic kinases and phosphatases, growth factors, and growth factor receptors involved in signal transduction (see Chapter 55). Bioreductive alkylating agents and radiation sensitizers have become subjects of considerable interest as a result of the observation that malignant cells within the center of the tumor are hypoxic, and hypoxia is a cause of drug resistance. Compounds designed to affect angiogenesis and hormone receptors and agents targeted toward redox systems are also emerging as exciting new therapeutic approaches to cancer. Many currently available
TRADE NAMES
(In addition to generic and fixed-combination preparations, the following trade-named materials are available in the United States.)
Alkylating Agents
Nitrogen mustards
Chlorambucil (Leukeran)
Cyclophosphamide (Cytoxan, Neosar)
Ifosfamide (Ifex)
Mechlorethamine (Mexate)
Melphalan (Alkeran)
Nitrosoureas
Carmustine (BCNU, BiCNU)
Lomustine (CCNU, CeeNU)
Streptozocin (Zanosar)
Others
Busulfan (Myleran)
Carboplatin (Paraplatin)
Cisplatin (Platinol)
Dacarbazine (DTIC-Dome)
Oxaliplatin (Eloxatin)
Procarbazine (Matulane)
Temozolomide (Temodal)
Antimetabolites
Capecitabine (Xeloda)
Cytarabine (Cytosar-U)
Floxuridine (FUDR)
5-Fluorouracil (Efudex, Adrucil)
Gemcitabine (Gemzar)
6-Mercaptopurine (Purinethol)
Methotrexate (Mexate)
Pemetrexed (Alimta)
Pentostatin (Nipent)
Thioguanine (Thioguan tabloid)
Antibiotics
Bleomycin sulfate (Blenoxane)
Dactinomycin, actinomycin D (Cosmegen)
Daunorubicin (Cerubidine)
Doxorubicin (Adriamycin)
Mitomycin (Mutamycin)
Mitoxantrone (Novantrone)
Others
Arsenic trioxide (Trisenox)
Asparaginase (Elspar)
Hydroxyurea (Hycamtin)
Plant Alkaloids
Etoposide (VePesid)
Irinotecan (Camptosar)
Paclitaxel (Taxol)
Teniposide (Vumon)
Topotecan (Hycamtin)
Vinblastine (Velban, Velsar)
Vincristine (Oncovin, Vincasar)
antineoplastic agents require IV administration, and considerable effort has been directed toward the development of orally active compounds that would permit patients to be treated outside of a hospital setting. Cancer vaccines and gene therapy continue to be actively investigated. The next 5 years may provide important clues concerning which of the aforementioned approaches are likely to yield effective new anticancer drugs.
FURTHER READING
Approved Oncology Drugs. U.S. Food and Drug Administration Center for Drug Evaluation and Research. http://www.fda.gov/cder/cancer/approved.htm.
O’Connor 2007 O’Connor R. The pharmacology of cancer resistance. Anticancer Research. 2007;27:1267-1272.
Swanton C. Cell-cycle targeted therapies. Lancet Oncol. 2004;5:27-36.
SELF-ASSESSMENT QUESTIONS
1. A patient with Hodgkin lymphoma is determined to have a tumor burden of approximately 1028 cells. The standard chemotherapeutic regimen has a log kill equal to 4. How many courses of therapy are necessary to reduce the tumor burden to 104 in this patient?
A. 4
B. 6
C. 7
D. 20
E. 24
2. Multidrug resistance commonly develops in response to the use of a single cancer chemotherapeutic agent. Which of the following is the most common mechanism by which this type of resistance occurs in cancer cells?
A. Amplification of gene coding for enzymatic breakdown of specific drugs
B. Cytoplasmic drug-receptor complex travels to nucleus, binds to DNA, and results in expression of new messenger RNA
C. Inhibition of expression of genes specific for active drug uptake
D. Overexpression of the gene coding for surface glycoprotein (p-glycoprotein) involved in active drug efflux
E. Transfer of plasmids from one cancer cell to another
3. Standard chemotherapy for Hodgkin’s disease involves a four-drug combination. Which of the following protocols is currently preferred because of a reduced risk of delayed ovarian or testicular failure?
A. Bleomycin, doxorubicin, cyclophosphamide, vincristine
B. Cyclophosphamide, doxorubicin, cisplatin, and etoposide
C. Cyclophosphamide, methotrexate, 5-fluorouracil, and tamoxifen
D. Doxorubicin, bleomycin, vinblastine, and dacarbazine
E. Mechlorethamine, vincristine, procarbazine, and prednisone
4. Which of the following drugs binds to the toxic metabolite of cyclophosphamide and is administered to patients to protect them from cyclophosphamide-induced hemorrhagic cystitis?
A. Allopurinol
B. Citrovorum factor
C. Leuprolide
D. Mercaptoethane sulfonate-Na+ (MESNA)
E. Mitotane