Women's Sexual Function and Dysfunction. Irwin Goldstein MD

Neuroendocrine factors in sexual desire and motivation

Lisa A Scepkowski, Michaela Georgescu, James G Pfaus

Sexual motivation is the energizing force that generates our level of sexual interest at any given time. It drives our sexual fantasies; compels us to seek out, attend to, and evaluate sexual incentives; regulates our levels of sexual arousal and desire (a process that Whalen1 referred to as “arousability”); and enables us to masturbate, copulate, or engage in other forms of sex play. As a heuristic, sexual motivation is relatively simple to define, and can be viewed as an internal process built upon neuroendocrine mechanisms, such as alterations in brain anatomy and neurochemical function by steroid hormone actions. Sexual motivation is also tuned by our experiences and expectations, learned patterns of behavior, and underlying neural activity related to sexual arousal, desire, reward, and inhibition. In turn, these aspects of sexual function feed back on mechanisms of motivation, either to increase (as in the case of arousal, desire, or reward) or decrease (as in the case of reward or inhibition) the expression of sexual interest (Fig. 5.2.1).

Sexual desire has been more difficult to define. This stems, in part, from a lack of objective measures of desire, a lack of specific subjective measures of desire, and an association with concepts like “libido”, in which desire and arousal are not clearly delineated. In the Diagnostic and Statistical Manual of Mental Disorders (DSM),2 the diagnosis of hypoactive sexual desire disorder is given when “desire for and fantasy about sexual activity are chronically or recurrently deficient of absent”. By converse logic, sexual desire would be the presence of desire for, and fantasy about, sexual activity. Clinicians and motivational theorists both view desire as distinct from arousal in animals and humans.3-5 This is also apparent in the DSM categorization of arousal disorders as distinct from desire disorders, a distinction that generally reflects blood flow to the genitals and erectile tissues versus a “psychological” sexual interest in which individuals “want” or “crave” sex (with wanting and craving defined here, as in Robinson and Berridge,6 for drugs of abuse). Despite the fact that desire and arousal are separable processes, desire may well be informed or even confirmed by the presence of autonomic and central responses that define arousal. In fact, both women and men regard desire and arousal as parts of one another, despite being given distinct definitions.3,7 When an individual expresses sexual desire behaviorally, it follows that attention and behavior focus on obtaining some form of positive sexual reinforcement. This can occur alone in fantasies or together with others in goal-directed social and sexual behavior. Thus, in addition to people stating colloquially that they feel “horny” (with or without corresponding arousal), desire encompasses the work people will perform to obtain sexual rewards, the excitement displayed in anticipation of such rewards, and the strength of the incentive value ascribed to a particular sexual stimulus.

Operational definitions of desire

Operational definitions of sexual desire and the methods of measuring this construct vary widely in the literature, and a particular challenge in defining desire is its intricate relationship with sexual arousal. Bancroft8 discussed the concept of sexual arousal in terms of both sexual “appetite” and desire, and central and peripheral arousability. Sexual appetite was defined as that which motivates us to seek out sexual stimulation and is a complex interaction between cognitive processes, neurophysiologic mechanisms, and affect or mood. Bancroft also described arousal as involving an individual’s capacity to respond to external sexual stimuli appropriately as mediated by the tendency to seek them out as well as the capacity to create internal sexual stimuli (e.g., fantasies). Similarly, Singer and Toates5 compared sexual desire to appetite in an incentive- motivation model in which sexual motivation is located in the central nervous system, and structural changes induced by sex hormones in the central nervous system, sensory receptors, and peripheral organs (i.e., genitalia) alter sexual motivation. Thus, an interaction between central and peripheral processes may be responsible for manifestations of sexual desire. When Beck et al.9 asked college students to indicate what most accurately reflected their degree of sexual desire, females most frequently cited genital arousal, intercourse frequency, and sexual daydreams, in that order. In contrast, the general population appears to view sexual desire as primarily psychological, as Regan and Berscheid10 found that 98.5% of participants defined the construct by making reference to a motivational, cognitive, emotional, or subjective state. Interestingly, 7.6% of women, but only 1.5% of men, viewed sexual desire as a physiologic state such as arousal.

Figure 5.2.1. Hypothetic relationship between experience, hormonal activation, arousability, attention, and stimulus processing from genital sensations and external incentives on net sexual responding at any given time. Note that excitatory and inhibitory feedback can occur anywhere in this flowchart to strengthen or reduce responding. Such feedback provides moment-to-moment modulation of sexual motivation.

If women tend to view the degree of genital arousal as an index of sexual desire, difficulties with attaining adequate physical sexual arousal should have implications for subjective, motivational aspects of sexual experience. Within the past few years, there has been an impetus to examine the effects of peripherally acting agents, such as phosphodiesterase inhibitors, on female arousal. Studies have yielded varying results, ranging from no appreciable effects11 to significant increases in selfreported sexual arousal,12 to increases in genital arousal without a corresponding increase in subjective arousal.13 Recently, Basson and Brotto14 found that in women with arousal disorder and lower vaginal pulse amplitude, sildenafil significantly increased both subjective sexual arousal and perception of genital arousal.

Hormonal influences

Steroid hormones secreted from the gonads, such as androgens, estrogens, and progestins, increase the sensitivity of an individual to sexual stimuli. In the brain this involves an increase in attention toward the incentive qualities that define the stimuli as sexual, awareness of the emotional value of the stimuli, an expectation of sexual reward, and an increase in behavioral output directed toward those stimuli, moving an individual from distal to proximal to interactive with regard to sexual incentives. In the periphery steroid actions help to prepare vaginal, clitoral, and penile tissues to be engorged with blood, enable proper lubrication, and maintain the hormonal output of the gonads themselves. In both men and women, a dynamic interplay of androgens, estrogens, and progestins does this simultaneously in the brain and periphery,15-17 essentially changing the motivational “state” and preparing the body for action. Cues associated with sexual reward also activate hormonal output,18,19 thus priming hormone-sensitive systems for sexual activity. Average sex steroid levels in women during the ovulatory cycle are shown in Table 5.2.1.

Much of what is known about steroid influences in female desire comes from studies in animal models, such as rats and primates.2^23 The ovulatory cycles of rats and humans are shown in Figs 5.2.2 and 5.2.3. In rats, the cycle is approximately 4 days long, and is divided into four daily phases (diestrus 1, diestrus 2, proestrus, and estrus). Estrogen levels begin to rise during diestrus 2, and peak the morning of proestrus. Progesterone levels begin to rise the afternoon of proestrus and females typically go into “heat” a few hours later, and remain sexually interested and active for another 12 h. This state can be created in ovariectomized females by the sequential administration of estrogen 48 h before, and progesterone 4h before, a test with sexually active male rats.17 While in heat, females display behaviors that indicate sexual interest, including solicitations, hops, darts, and ear-wiggles.21,24-26 After running away, which forces the male to chase her, the female will hold a lordosis posture and allow the male to mount and achieve vaginal intromission. This pattern of solicitation, runaway, and lordosis defines a bout of copulation in the female rat. After receiving multiple vaginal intromissions and ejaculations, the female begins to run away more and more, imposing more temporal distance between stimulations.

Table 5.2.1. Sex steroid levels in women during phases of the ovulatory cycle

Hormone

Phase of the cycle

Early

follicular

Preovulatory

Midluteal

Progesterone (mg)

1.0

4.0

25.0

17-Hydroxyprogesterone (mg)

0.5

4.0

4.0

Dehydroepiandrosterone (mg)

7.0

7.0

7.0

Androstenedione (mg)

2.6

4.7

3.4

Testosterone (mg)

144.0

171.0

126.0

Estrone (mg)

50.0

350.0

250.0

Estradiol (mg)

36.0

380.0

250.0

Data from Yen SSC, Jaffe RB. Reproductive Endocrinology (3rd edn). San Francisco: Saunders, 1991.

The ability to pace or control the initiation and rate of copulation enhances fertility,27 and is the critical feature that female rats find rewarding about copulation.28 Thus, sexual interest is generated by the sequential actions of estrogen and progesterone, and occurs around the time of ovulation, thus linking behavior to reproduction in most mammalian females.

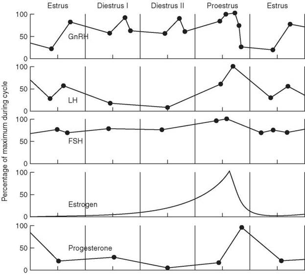
Figure 5.2.2. Ovulatory cycle of the rat. Gonadotropin-releasing hormone (GnRH) stimulates the pituitary to secrete luteinizing hormone (LH) and follicle stimulating hormone (FSH), which in turn causes a steady increase in estrogen levels until the afternoon of proestrus. A second increase in LH and FSH, along with a corresponding increase in estrogen and progesterone levels, causes ovulation. The increase in estrogen and progesterone prime hypothalamic and limbic brain structures for sexual behavior. After WF Ganong, Review of Medical Physiology (17th edn). Norwalk: Appleton & Lange, 1995; RJ Nelson, An Introduction to Behavioral Endocrinology (2nd edn). Sunderland: Sinauer, 2000.

Figure 5.2.3. Ovulatory cycle of the human. FSH, follicle stimulating hormone; LH, luteinizing hormone. From RJ Nelson, An Introduction to Behavioral Endocrinology (3rd edn). Sunderland, MA: Sinauer, 2005.

Although females of some primate species (including humans) can have sex any time during the ovulatory cycle, there is evidence that increased desire and female-initiated sexual activity tend to occur around the time of ovulation, for example, in humans and macaques23,29 (Fig. 5.2.4). However, female- directed desire has not been assessed in most human studies, but rather subsumed in questions regarding overall sexual activity. Thus, studies aimed at finding the presence of a hormone-related periovulatory peak in sexual response have yielded conflicting results. Typically, these studies have used behavioral measures such as intercourse or masturbation frequency to index changes in sexual interest. Some studies have provided evidence of this midcycle peak,30-33 while others have shown peaks in female-initiated sexual activity during the follicular phase,34 or no difference at all across cycles regardless of hormonal or contraceptive status.35 Some studies have shown sexual arousal to be highest during the midfollicular and late luteal phases as opposed to during ovulation. For example, studies employing self-report and psychophysiologic techniques have reported greater genital arousal during the follicular and luteal phases36 or greater arousal during the follicular than luteal phase.37 Meuwissen and Over16 found that subjective sexual arousal was relatively stable across all phases of the menstrual cycle, but they also found that vaginal pulse amplitude was highest during the luteal, or premenstrual, phase. Studies relying more heavily on subjective measures of sexual desire and interest have shown a higher interest in erotic films postmenstrually,38 with the highest reported sexual desire a few days prior to the basal body temperature shift associated with ovulation,29 and sexual feelings independent of mood to be highest during the midfollicular and late luteal phases, with the highest reported sexual activity during the midfollicular phase.39 Another study found a peak in sexual interest in women with premenstrual complaints during the ovulatory phase, but women without complaints reported a peak during the follicular phase.40 The high variability in methods used to determine menstrual cycle phase and levels of sexual arousal and desire has made it difficult to draw definitive conclusions about the relationship between hormone levels and menstrual cycle.

Figure 5.2.4. Measures of female-directed sexual desire in humans and rhesus macaques. Top: the number of women reporting sexual desire for the first time in their ovulatory cycle in relation to the time of ovulation (based on basal body temperature shift). Data from Stanislaw and Rice29 and adapted from Wallen.23 Bottom: the mean frequency of female approach (solid circles) and sexual solicitation (open circles) toward males in relation to the female's midcycle estradiol peak. Note that female approach is elevated earlier than solicitation. Data from Wallen.23

Estrogens and progestins

It is generally accepted that estrogens are important for maintaining the health and integrity of vaginal tissue in women, and it naturally follows that the lack of the hormones after menopause will be related to decreases in sexual functioning. However, the role of estrogen in psychologic processes related to sexual desire is less well understood. Sherwin and colleagues41-45 have demonstrated an enhancing effect of estrogen on mood. It is speculated that estrogens enhance mood by neurochemical mechanisms associated with the activation of ascending serotonin systems. Sherwin42 suggested that, in addition to increasing the degradation of monoamine oxidase, estrogen displaces tryptophan from binding sites to albumin, thereby allowing more free tryptophan to be available to the brain, where it is metabolized to serotonin. In addition to its effect on mood, Sherwin and colleagues found that levels of desire and arousal were highest in postmenopausal women when receiving estrogen compared with receiving both estrogen and progestin or no hormones at all. Progestins were found in that study to dampen mood and increase reported unpleasant psychologic symptoms. It is not clear whether that effect might be related to the peak or fall in plasma progesterone concentrations.

Androgens

Bancroft46 suggested a role for androgens in stimulating sexual motivation in both men and women, involving effects on cognition and attention, and an increased tendency to respond to sexual stimuli with central arousal or excitement. A growing body of research has formed around this hypothesis. Although there has been a larger focus on androgens in male sexuality, more recent work has demonstrated the importance of androgens in female sexuality at both central and peripheral levels.

Androgens, including dehydroepiandrosterone (DHEA), dehydroepiandrosterone sulfate (DHEA-S), androstenedione (A), testosterone (T), and dihydrotestosterone (DHT) are produced by the ovaries and/or adrenal glands, and peripheral tissues in women (Table 5.2.1). Only unbound, or “free” testosterone and dihydrotestosterone are considered biologically active, as they are able to bind to androgen receptors in tissue.47,48 However, it remains unclear whether testosterone is acting on the brain via androgen receptors or through aromatization to estrogens, as both types of receptors are present in the brain.49,50 The majority of research investigating the effects of androgens on female sexuality has examined women with diminished androgen levels from various causes. Although androgen levels are known to decrease with age, there are a number of other causes of androgen insufficiency, including oophorectomy, premature ovarian failure, hypopituitarism, adrenal insufficiency, corticosteroid therapy, chemotherapy/radiation, and estrogen replacement therapy.51 Women with diminished androgen levels have reported decreased sexual function, in terms of lower sexual desire, infrequent sexual fantasies, decreased sexual interest, decreased vaginal lubrication, and difficulty achieving arousal.50 These symptoms have been treated with dehydroepiandros- terone and/or testosterone replacement therapy, with measurable degrees of success in improving sexual interest and desire,50,51 libido, and sexual satisfaction.52

The mechanisms by which androgens influence cognitive processes involved in sexual desire and arousal are not well understood. As mentioned above, androgens were first proposed to facilitate central arousal mechanisms and sexual appetite. Krug et al.53 demonstrated that visual sexual stimuli are better recognized by women around the time of ovulation (when testosterone peaks) and that in this phase the amplitude of the late positive component of event-related potentials was greater for sexual stimuli than neutral stimuli when they engaged in affective processing of the stimuli. As androgens are important for a functional genital response via physical mechanisms, they have also been shown to influence attentional aspects of sexual functioning. Alexander and Sherwin54 used a dichotic listening task to examine selective attention for sexual stimuli in women using oral contraceptives, and found that in the group of women whose free testosterone levels were below average, there was a significant positive relationship between free testosterone and attentional bias toward sexual stimuli. The same relationship was not shown for women with levels within the normal range.

Androgens, estrogens, and sex hormonebinding globulins

Androgens and estrogens may work in concert to alter sexual desire and arousal. The most efficacious hormone-replacement therapy to restore both sexual arousal and desire in postmenopausal women has been treatment with androgens and estrogens, rather than either one alone.41,43,49 Bancroft10 suggested that this efficacy stems from an action of androgens on sex hormone-binding globulins and a resulting increase in bioavailable estrogens. Sex hormone-binding globulins are transport glycoproteins produced in the liver that regulate the delivery of steroid hormones to target tissues.55 Roughly 66-78% of circulating testosterone is bound strongly to sex hormonebinding globulin, 20-33% is bound weakly to albumin, and the remaining 1-2% is unbound or free, where it is able to exert its actions on target tissues. The sex hormone-binding globulin binding affinity for steroid hormones is dihydrotestosterone > testosterone > androstenedione > estradiol > estrone.56 Sex hormone-binding globulin binds dehydroepiandrosterone very weakly, and does not bind dehydroepiandrosterone sulfate at all. Circulating sex hormone-binding globulin levels are reduced by testosterone, glucocorticoids, growth hormone, and insulin, and increased by estradiol and thyroxine.57 Exogenous administration of estradiol increases sex hormone-binding globulin levels, and this in turn reduces the free fractions of both testosterone and estradiol.58 This helps to explain why treatment with estradiol alone is relatively ineffective.

When testosterone is given in conjunction with estradiol, at least three effects serve to increase bioavailable estradiol. The first is a decrease in sex hormone-binding globulin production; the second is an increase in bound testosterone; and the third is a further increase in estradiol levels due to the aromatization of free testosterone into estradiol (this latter effect would not be likely in the case of coadministration of methyltestosterone, which inhibits aromatase activity).59 Thus, coadministration of testosterone and estradiol should increase estradiol’s actions on peripheral tissues, such as the clitoris and vagina,60 resulting in improvements in vasomotor symptoms and vaginal dryness, and sexual satisfaction in cases of atrophic vaginitis,45,61 in addition to its actions in the brain to stimulate sexual desire in the appropriate circumstances.

Neurochemical “mediators”

In the brain, increased estradiol levels can enhance the action of monoamine (e.g., dopamine, noradrenaline, and serotonin), small molecule [e.g., gamma-aminobutyric acid (GABA) and glutamate] and neuropeptide (e.g., opioid, gonadotropin-releasing hormone, melanocortin) neurotransmitter systems that control central arousal and excitation, mood, and incentive salience.20,62 The activation of those systems has begun to be examined in animal models of female sexual “desire,” such as solicitation and pacing, and sexual reward (e.g., sexually conditioned place or partner preference), in addition to measures of sexual receptivity such as lordosis.21 Two promising effects have emerged with the dopamine receptor agonist apomorphine, and the melanocortin receptor agonist PT-141, stimulating sexual solicitation in ovariectomized rats treated with estradiol.21,63

Dopamine may play a key role in the attribution of incentive salience to external stimuli, especially those of conditional incentive value.55 Mesolimbic dopamine transmission is stimulated by estradiol and testosterone in rat brain.64,65 In some regions of the hypothalamus, binding of dopamine to dopamine (D1) receptors activates progestin receptors independently of the presence of progesterone.66 In fact, such activation by dopamine-mediated second messenger cascades may be superseded if progesterone levels are high, thus decreasing the availability of progestin receptors (as progesterone binds irreversibly to its own receptor). Indeed, administration of the progestin receptor antagonist RU-486 eliminates the ability of either apomorphine or the D1-selective agonist SKF-38393 to activate lordosis after infusion to the ventromedial hypothalamus.66

Neuropeptides derived from proopiomelanocortin (POMC), including P-endorphin, corticotropin (ACTH), and a- melanocyte-stimulating hormone (MSH), have pronounced excitatory and inhibitory effects on the sexual behavior of female rats.63,67-71 Estradiol regulates this system in a complex way; for example, it decreases the number and affinity of receptors for Ц- opioid receptors (that inhibit female sexual behavior) and increases a-melanocyte-stimulating hormone and melanocortin receptor levels.72-74 These factors may be intermediaries of estrogen’s effects on sexual desire.

Conclusions

Sexual motivation is stimulated, maintained, and terminated by a constellation of neurotransmitter and receptor changes, induced by progestins, androgens, estrogens, and sensory feedback, that generates peripheral and central “state” changes. These changes, in turn, activate sexual arousal and desire and link them to reproductive function. Androgens may be permissive in this by allowing more estradiol to be distributed to target tissues, in addition to their own role in the activation of neurochemical systems. Progestins appear to play a dual role in females, with small amounts activating progestin receptors in key hypothalamic and limbic structures to increase sexual motivation and desire, but larger amounts leading to a faster decline in these processes. The activation of melanocortin, dopamine, and progestin receptors may be key intermediaries in the stimulation of sexual desire, incentive sexual motivation, and sexual reward, but they are by no means the entire story. Simultaneous down- regulation of neurochemical systems that inhibit sexual motivation and desire also occurs after estrogen treatment, at least long enough to ensure that sexual activity has been successful (from a reward and/or reproductive standpoint). Accordingly, these changes all come under the rubric of sexual motivation. Obviously, the expression of sexual desire in women is more than the sum of its physiologic parts. The neurochemical actions of steroid hormones stimulate sensory awareness, arousal, mood, and reward, and link them to salient features of a partner, place, and action. Neuroendocrine factors provide the instruments, whereas each individual’s experience writes the songs.

Acknowledgments

The authors would like to thank Drs Kim Wallen, Lori Brotto, Julia Heiman, Irwin Goldstein, Peter Eriksson, Donald Pfaff, Raul Paredes, and Annamaria Giraldi, for many useful discussions that have helped form the ideas expressed in this chapter. Research findings from the laboratory of JGP were funded by grants from the Natural Sciences and Engineering Research Council of Canada, Canadian Institutes for Health Research, and Palatin Technologies.

References

1. Whalen RE. Sexual motivation. Psychol^gv 1966; 73: 151-63.

2. American Psychiatric Association. Diagnostic and Statistical Manual of Psychiatric Disorders IV-TR (Text Revision). Washington, DC: APA Press, 2000.

3. Basson R. Female sexual response: the role of drugs in the management of sexual dysfunction. Obb£e£yn£££l 2001; 98: 350-3.

4. Pfaus JG. Revisiting the concept of sexual motivation. Annu Rev Sex Res 1999; 10: 120-57.

5. Singer B, Toates FM. Sexual motivation.JSexRes 1987; 23: 481-501.

6. Robinson TE, Berridge KC. The neural basis of drug craving: an incentive-sensitization theory of addiction. Brain Res Brain Res Rev 1993; 18: 247-91.

7. Toledano RR, Pfaus JG. The sexual arousal and desire inventory (SADI): a multidimensional scale to assess the subjective experience of sexual arousal and desire. Arch Sex Behav 2005; submitted.

8. Bancroft J. Human Sexuality and Its Problems. New York: Churchill Livingstone, 1989.

9. Beck JG, Bozman AW, Qualtrough T. The experience of sexual desire: psychological correlates in a college sample. J Sex Res 1991; 28: 443-56.

10. Regan PC, Berscheid E. Beliefs about the state, goals, and objects of sexual desire. 1996; 22: 110-20.

11. Basson R, McInnis R, Smith M et al. Efficacy and safety of sildenafil citrate in women with sexual dysfunction associated with female sexual arousal disorder. J Womens Health Gend Based Med 2002; 11: 339-49.

12. Caruso S, Intelisano G, Lup L et al. Premenopausal women affected by sexual arousal disorder treated with sildenafil: a doubleblind, cross-over, placebo-controlled study. Br J Obstet Gynecol 2001; 108: 623-8.

13. Laan E, van Lunsen RH, Everaerd W et al. The enhancement of vaginal vasocongestion by sildenafil in healthy premenopausal women. J Womens Health Gend Based Med 2002; 11: 357-65.

14. Basson R, Brotto LA. Sexual psychophysiology and effects of sildenafil citrate in oestrogenised women with acquired genital arousal disorder and impaired orgasm: a randomized controlled trial. Br J Obst Gyn 2003; 110: 1014-24.

15. Meisel RD, Sachs BD. The physiology of male reproducation. In E Knobil, JD Neil, eds. The Physiology of Reproduction, vol 2. New York: Raven Press, 1994: 3-105.

16. Meuwissen IM, Over R. Sexual arousal across phases of the human menstrual cycle. Arch Sex Behav 1992; 21: 101-19.

17. Pfaff DW. Estrogens and Brain Function. Berlin: Springer-Verlag, 1980.

18. Anonymous. Effects of sexual activity on beard growth in man. Nature 1970; 226: 869-70.

19. Graham JM, Desjardins C. Classical conditioning: induction of luteinizing hormone and testosterone secretion in anticipation of sexual activity. Sdennçe 1980; 210: 1039-41.

20. Pfaff DW. Drive: Neurobiological and Molecular Mechanisms of Sexual Motivation. Bradford: MIT Press, 1999.

21. Pfaus JG, Kippin TE, Coria-Avila G. What can animal models tell us about human sexual response? Annu Rev Sex Res 2003; 14: 1-63.

22. Wallen K. Desire and ability: hormones and the regulation of female sexual behavior. Neurosci Biobehav Rev 1990; 14: 233-41.

23. Wallen K. The evolution of female sexual desire. In PR Abramson, SD Pinkerton, eds. Sexual Nature, Sexual Culture. Chicago: University of Chicago Press, 1995: 57-79.

24. Erskine MS. Solicitation behavior in the estrous female rat: a review. Horm Behav 1989; 23: 473-502.

25. Madlafousek J, Hliôâk Z. Sexual behavior of the female laboratory rat: inventory, patterning, and measurement. Behaviour 1978; 63: 129-73.

26. McClintock MK. Group mating in the domestic rat as a context for sexual selection: consequences for the analysis of sexual behavior and neuroendocrine responses. AdvStydBhav 1984; 14: 1-50.

27. Adler NT. On the mechanisms of sexual behavior and their evolutionary constraints. In Hutchison JB, ed. Biological Determinants of Sexual Behavior. Chichester: Wiley, 1978: 657-95.

28. Paredes RG, Vazquez B. What do female rats like about sex? Paced mating. BehavBminRs 1999; 105: 117-27.

29. Stanislaw H, Rice FJ. Correlation between sexual desire and menstrual cycle characteristics. ArchSexBhav 1988; 17: 499-508.

30. Harvey SM. Female sexual 31: 101-10.

31. Matteo S, Rissman EF. Increased sexual activity during the midcycle portion ofthe human menstrual cycle. Horm Behav 1984; 18: 249-55.

32. Morris NM, Udry JR, Khan-Dawood F et al. Marital sex frequency and midcycle female testosterone. ArçhSexBàav 1987; 16: 27-37.

33. Persky H, Lief HI, Strauss D et al. Plasma testosterone level and behavior of couples. ArchSexBhav 1978; 7: 157-73.

34. Silber M. Menstrual cycle and work schedule: effects on women’s sexuality. Arch Sex Behav 1994; 23: 397-404.

35. Alexander GM, Sherwin BB, Bancroft J et al. Testosterone and sexual behavior in oral contraceptive users and nonusers: a prospective study. Horm Behav 1990; 24: 388-402.

36. Schreiner-Engel P, Schiavi RC, Smith H et al. Sexual arousability and the menstrual cycle. Psychosom Med 1981; 43: 199-214.

37. Slob AK, Bax CM, Hop WCJ et al. Sexual arousability and the menstrual cycle. Psychoneuroendocrinology 1996; 21: 545-58.

38. Zillmann D, Schweitzer KJ, Mundorf N. Menstrual cycle variation of women’s interest in erotica. Arch Sex Behav 1994; 23: 579-97.

39. Bancroft J, Sanders D, Davidson D et al. Mood, sexuality, hormones, and the menstrual cycle. III. Sexuality and the role of androgens. Psychosom Med 1983; 45: 509-16.

40. Van Goozen SH, Wiegant VM, Endert E et al. Psychoendocrinological assessment of the menstrual cycle: the relationship between hormones, sexuality, and mood. Arch Sex Behav 1997; 26: 359-82.

41. Sherwin BB. Affective changes with estrogen and androgen replacement therapy in surgically menopausal women. J Affect Disord 1988; 14: 177-87.

42. Sherwin BB. The impact of different doses of estrogen and progestin on mood and sexual behavior in postmenopausal women. J Clin Endocrinol Metab 1991; 72: 336-43.

43. Sherwin BB. Randomized clinical trials of combined estrogen- androgen preparations: effects on sexual functioning. Fert Steril 2002; 77(Suppl 4): S49-54.

44. Sherwin BB, Gelfand MM. Sex steroids and affect in the surgical menopause: a double-blind cross-over study. Psychoneuroendocrinology 1985; 10:.325-35.

45. Sherwin BB, Gelfand MM, Brender W. Androgen enhances sexual motivation in females: a prospective, crossover study of sex steroid administration in the surgical menopause. Psychosom Med 1985; 47: 339-51.

46. Bancroft J. Endocrinology of sexual function. Clin Obstet Gynecol 1980; 7: 253-81.

47. Lobo RA. Androgens in postmenopausal women: production, possible role, and replacement options. Obstet Gynecol Surv 2001; 56: 361-76.

48. Longcope C. Androgen metabolism and the menopause. Semin Reprod Endocrinol 1998; 16: 111-15.

49. Bancroft J. Sexual effects of androgens in women: some theoretical considerations. Fert Steril 2002; 77: S55-9.

50. Guay A, Davis SR. Testosterone insufficiency in women: fact of fiction? World J Urol 2002; 20: 106-10.

51. Apperloo MJA, Van Der Stege JG, Hoek A et al. In the mood for sex: the value of androgens. J Sex Marital Ther 2003; 29: 87-102.

52. Spark RF. Dehydroepiandrostenedione: a springboard hormone for female sexuality. Fert Steril 2002; 77: S19-25.

53. Krug R, Plihal W, Born J. Selective influence of menstrual cycle on perception of stimuli with reproductive significance: an event- related potential study. Psychophysiology 2000; 37: 111-22.

54. Alexander GM, Sherwin BB. Sex steroids, sexual behavior, and selection attention for erotic stimuli in women using oral contraceptives. Psychoneurgendgcrinolggy, 1993; 18: 91-102.

55. Pugeat M, Crave JC, Tourniaire J et al. Clinical utility of sex hormone-binding globulin measurement. Horm Res 1996; 45: 148-55.

56. Dunn JF, Nisula BC, Rodboard D. Transport of steroid hormones. Binding of 21 endogenous steroids to both testosterone-binding globulin and corticosteroid-binding globulin in human plasma. J Clin Endocrinol Metab 1981; 53: 58-68.

57. Davis SR, Burger HG. The rationale for physiological testosterone replacement in women. Baillieres Clin Endocrinol Metab 1998; 12: 391-405.

58. Mathur RS, Landgreebe SD, Moody LO et al. The effect of estrogen treatment on plasma concentrations of steroid hormones, gonadotropins, prolactin, and sex hormone-binding globulin in post-menopausal women. Maturias 1985; 7: 129-33.

59. Mor G, Eliza M, Song J et al. 17-alpha methyl testosterone is a competitive inhibitor of aromatase activity in Jar choriocarcinoma cells and macrophage-like THP-1 cells in culture. J Steroid Biochem Mol Biol 2001; 79: 239-46.

60. Campbell S, Whitehead M. Oestrogen therapy and the menopausal syndrome. Clin Obstet Gynecol 1977; 4: 31-47.

61. Studd JWW, Chakravarti S, Oram D. The climacteric. Clin Obstet Gynecol 1977; 4: 3-29.

62. Pfaff DW, Schwartz-Giblin S, McCarthy MM et al. Cellular and molecular mechanisms of female reproductive behaviors. In E Knobil, JD Neill, eds. The Physiology of Reproduction, vol 2. New York: Raven Press, 1994: 107-220.

63. Pfaus JG, Shadiack A, Van Soest T et al. Selective facilitation of sexual solicitation in the female rat by a melanocortin receptor agonist. Proc Natl Acad Sci USA 2004; 101: 10201-4.

64. Castner SA, Xiao L, Becker JB. Sex differences in striatal dopamine: in vivo microdialysis and behavioral studies. Brain Res 1993; 610: 127-34.

65. Du J, Hull EM. Effects of testosterone on neuronal nitric oxide synthase and tyrosine hydroxylase. BranRs 1999; 836: 90-8.

66. Mani SK, Allen JM, Clark JH et al. Convergent pathways for steroid hormone- and neurotransmitter-induced rat sexual behavior. Spence 1994; 265: 1246-9.

67. Cragnolini AB, Scimonelli TN, Celis ME et al. The role of melanocortin receptors in the sexual behavior of female rats. Neuropeptides 2000; 34: 211-15.

68. Gonzalez MI, Celis ME, Hole DR et al. Interaction of oestradiol, alpha-meoanotrophin, and noradrenaline within the ventromedial nucleus in the control of female sexual behavior. Neuroendocrinology 1993; 58: 218-26.

69. Nocetto C, Cragniolini AB, Schioth HB et al. Evidence that the effect of melanocortins on female sexual behavior in preoptic area is mediated by the MC3 receptor. Participation of nitric oxide. Behav Brain Res 2004; 153: 537-41.

70. Pfaus JG, Everitt BJ. The psychopharmacology of sexual behavior. In FE Bloom, DJ Kupfer, eds. Psychopharmacology: The Fourth Generation of Progress. New York: Raven Press, 1995: 743-58.

71. Raible LH, Gorzalka BB Short- and long-term inhibitory actions of alpha melanocyte stimulating hormone on lordosis in rats. Peptides 1986; 7: 581-6.

72. Medina F, Siddiqui A, Scimonelli T et al. The inter-relationship between gonadal steroids and POMC peptides, beta-endorphin and alpha-MSH, in the control of sexual behavior in the female rat. Peptides 1998; 19: 1309-16.

73. Watanobe H, Schioth HB, Wikberg JE et al. The melanocortin 4 receptor mediates leptin stimulation of luteinizing hormone and prolactin surges in steroid-primed ovariectomized rats. Biochem Biophys Res Commun 1999; 257: 860-4.

74. Wilson CA, Thody AJ, Hole DR et al. Interaction of estradiol, alpha-melanocyte-stimulating hormone, and dopamine in the regulation of sexual receptivity in the female rat. Neuroendocrinology 1991; 54: 14-22.



If you find an error or have any questions, please email us at admin@doctorlib.org. Thank you!