Gunilla Klingberg and Kristina Arnrup
The prevention and treatment of oral diseases in childhood and adolescence as the basis for good oral health throughout life is the aim of pediatric dentistry. There are two main, equally important, issues within this goal: (a) to keep the oral environment healthy, and (b) to keep the patient capable of using and willing to use the dental service. This chapter deals with the second of these issues, including how to help children to cope with dental treatment and how to prevent development of dental anxiety and odontophobia.
Children and adolescents show tremendous variation in maturity, personality, temperament, and emotions, leading to a corresponding variation in vulnerability and ability to cope with the dental treatment situation. As a consequence of this, the pediatric dentist needs a repertoire of strategies, in addition to the dental treatment techniques, to prevent behavior management problems and to manage children who display such problems. This repertoire should involve both psychological and pharmacological techniques.
Definitions and prevalence of dental fear and anxiety
Many children perceive a visit to the dentist as stressful. This can be expected since an appointment includes several stress‐evoking components, such as meeting unfamiliar adults and authority figures, strange sounds and tastes, having to lie down, discomfort, and even pain. Uncooperative behavior and fear reactions are, therefore, common encounters in the daily dental clinical situation. The reported prevalence of dental fear/anxiety and behavior management problems varies in different populations, but have both been estimated to affect 9% of children and adolescents [1].
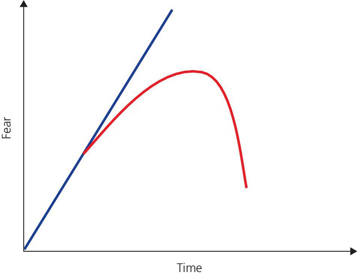
Fear may be described as a natural emotion based on the perception of a real threat, while anxiety is associated with fear reactions towards a situation of an anticipated, but not realistic, threat. Anxiety may therefore be looked on as a more disorder‐like type of fear among those who have not been able to adapt to specific fearful situations. Phobia is a disorder that is diagnosed according to clinical criteria (Box 6.1). Based on these descriptions it is likely that dental fear as well as dental behavior management problems have their peaks at a young age followed by rather drastic decline, while dental anxiety starts during early school age and then shows moderate increase. Dental phobia will probably affect fewer individuals, and show a more moderate increase as the young individual grows older (Figure 6.1). It is difficult to differentiate fear from anxiety in the clinical situation, and the terms dental fear and dental anxiety frequently are used interchangeably, as in this chapter.

Figure 6.1 Estimated changes in prevalence of dental fear, dental anxiety, dental phobia and behavior management problems in children and adolescents
Box 6.1 Important concepts in the understanding of child behavior
Dental fear
· Relates to a specific object
· Represents the reaction to a specific external threatening stimulus
· A normal emotional reaction to threatening stimuli in the dental treatment situation
Dental anxiety
· Not attached to an object
· A more nonspecific feeling of apprehension
· Represents a state where the person is evoked and prepared for something to happen
· Associated with more abnormal conditions
Odontophobia
· A severe type of dental anxiety
· Characterized by marked and persistent fear of clearly discernible objections/situations
· Results in people avoiding necessary dental treatment or enduring such treatment only with dread
· Significantly interferes with daily routines and social life
Dental behavior management problems
· Defined as uncooperative and disruptive behaviors resulting in delay of treatment or rendering treatment impossible
Expressions of dental fear and behavior management problems
A very relevant question to ask is: “Is it possible to distinguish between dental fear and behavior management problems in the clinical situation?” (Box 6.2). There is no simple answer to this. In the clinical situation the dentist is not likely to miss a child presenting with behavior management problems. Clinicians may empirically recognize the child with inadequate understanding, maturity, or ability to cooperate. A child who is acting out by crying or physically resisting may be contrasted to a child whispering to his or her mother, making no eye contact with the dentist and distancing himself or herself from interaction. Children with dental fear and anxiety can be outgoing in their general behavior, but are sometimes more passive and silent during treatment. Thus, there is the risk of overlooking that a patient is anxious, which may increase the risk for unintentionally harming him or her. It is important not to take cooperative behaviors alone as a sign of the child feeling comfortable. With increased knowledge about signs and causes of dental anxiety and behavior management problems, the dentist will become more attentive to these problems.
Box 6.2 The relationship between dental fear and anxiety, and behavior management problems (drawing adapted from Klingberg 1995 [25])
Behavior management problems are what the dentist observes, while dental fear and anxiety is what the patient feels – and the two things do not always correlate:
· Some children present behavior management problems without having fear and anxiety (the green area)
· Some children apprehend dental fear and anxiety, but are able to cope with the situation (orange area)
· Some children experience dental fear and anxiety and present behavior management problems (the overlapping area between the green and the orange areas)

Etiology
Dental anxiety and behavior management problems in children are phenomena of multifactorial and complex origins. Three main domains of etiologic factors can be identified (Figure 6.2). As the different components in each of the domains or groups vary in importance over time, the patient’s apprehension of anxiety as well as the behavior during dental treatments may vary. New aspects may be added leading to an increase in problems or, conversely, the child may learn to handle some of the anxiety‐provoking components, leading to a decrease in problems. Thus, time is an important variable. The child patient we see today will grow to be an adult patient of tomorrow. From research about dental anxiety and odontophobia in adults we know that they often identify the origin of their problems as negative experiences during dental treatment in childhood and adolescence. In cases where the initial fear and behavior management problems lead to avoidance of dental treatment, there is a great risk of entering a vicious circle, leading to dental anxiety and odontophobia and deterioration of dental health over time. Prevention of this negative development is a major task for pediatric dentists.

Figure 6.2 The reasons for dental fear/anxiety (DF/DA) and dental behavior management problems (BMP) are multifactorial and complex. Three groups of factors have been identified: personal, external, and dental factors. The impact and relative importance of the different factors vary between children and individually over time. If DF/DA and/or BMP lead to avoidance of dental treatment, there is a risk of entering and maintaining a vicious circle which may lead to odontophobia.
Personal factors
One of the most important factors in explaining the occurrence of dental anxiety and behavior management problems is the age of the child. Both dental fear and behavior management problems are more common in young children, reflecting the influence of a child’s psychological development on his or her ability to cope with dental treatment [1]. A young child may experience and understand the dental situation differently than older children. One major reason for this is that the process of understanding and having the motivation to comply with dental treatment differs depending on psychological development. The latter is also dependent on communication skills in the dental teams. After all, dental treatment requires a great deal from a child: to lie down without moving; to tolerate discomfort; strange tastes; maybe even pain; and all this in an unfamiliar environment with strange people, etc.
All children go through developmental periods of obstinacy often coinciding with the crisis that the child is dealing with during the different phases in his or her socioemotional development. These normal, but trying, periods are sometimes revealed as behavior management problems in the dental treatment situation. When talking to the parents they often describe a sudden change in the mood of their child, from compliant and easy‐going to showing and testing behavior and stubbornness. This is a transient period that will pass in a couple of weeks or maybe a month or two.
Symptoms of fear and anxiety are normal developmental phenomena in children, and many children display a relatively high number of anxiety symptoms without having anxiety disorders. Young children show fear of more and of different stimuli than older children. Several studies have shown a clear and positive relationship between high general fear level, emotional disorders, or general anxiety on the one hand and dental fear and anxiety, or behavior management problems on the other [1]. Associations between fear problems such as medical fears, fear of the unknown, and fear of injury on the one hand and dental fear and anxiety on the other have been reported.
In this context it is important to bear in mind the difficulties of distinguishing between dental fear and dental anxiety in children. The visit to the dentist could well be fearful to many children without giving rise to anxiety. Fearful reactions in young children are natural and this may explain the high prevalence in these age groups. Persisting dental fear, dental anxiety, and phobia developing later in childhood should be regarded as pathologic phenomena.
Fear/anxiety/phobia of blood, injections, and injuries is a special type of anxiety that frequently seems to interact negatively with dental treatment, since most of these children are fearful of dental injections (blood–injection–injury phobia: BII phobia) [2]. There is a strong tendency to faint or nearly faint when exposed to the fearful stimuli, which is unique to this type of phobia. The age of onset is thought to be early, which means that the prevalence is highest among young children. Positive relationships between BII phobia and dental anxiety and dental avoidance have been shown, indicating that BII phobia is a contributing factor.
Temperament is a personal emotional quality that is moderately stable over time and appears early in life. It is also believed to be under some genetic influence. Difficulties approaching novel situations and unfamiliar people have been reported to characterize children with dental fear and/or behavior management problems. Associations have also been reported with characteristics described as “negative mood,” “unhappy child,” “easily distressed,” or “impulsiveness.” Thus, dental fear and/or behavior management problems have been associated with aspects of children’s temperament (Box 6.3) [1]. One dimension of temperament is shyness, which is found in about 10% of children. Shy children need extra time to feel at ease with the situation. Another temperamental dimension, associated with dental fear as well as behavior management problems, is negative emotionality. Children with behavior management problems have also been reported to score higher on activity and impulsivity.
Box 6.3 Some dimensions of temperament associated with dental fear and/or behavior management problems (temperamental dimensions according to the EASI temperamental survey.
|
Shyness |
A tendency to be slow to warm up in novel situations or when meeting new people |
|
Negative emotionality |
Easily aroused expression of irritability or aggression when frustrated |
|
Activity |
Tempo and vigor, i.e., the tendency to hurry or speed and force in walking and talking |
|
Impulsivity |
Impatience and lack of perseverance |
Source: Buss & Plomin 1984 [26]. Reproduced with permission of Taylor & Francis.
Looking at fear, temperament, and behavior together, different subgroups have been identified among children with dental behavior management problems. Among these subgroups are children with high dental and general fear, children with fear combined with inhibited temperamental profile (shyness, negative emotionality, and internalizing behavior), and children with less pronounced fear combined with impulsiveness and externalizing/outgoing behavior [3].
In the group of children with dental anxiety without uncooperative behaviors it seems likely to find children with pronounced shyness or an inhibited temperamental profile. These children are well aware of how they should behave during a dental visit and therefore cope well with the treatment despite their anxiety. These children require special awareness on the part of the dental team during treatment in order not to be forced beyond their coping abilities. As inhibited children do not have an outgoing behavior, the lack of uncooperativeness could be misinterpreted for agreeing with the treatment situation if the dentist is not aware of this temperamental trait.
Uncooperative behavior in dental care situations may also be related to neuropsychiatric disorders such as attention deficit hyperactivity disorder (ADHD), autism spectrum disorders, or to intellectual disability. Dental anxiety and behavior management problems have been reported to occur more frequently in children with ADHD [4]. Approximately 5% of children are expected to have some kind of neuropsychiatric disorder [5]. ADHD represents a significant proportion with prevalence figures reported to vary from 3 to 7% [6].
External factors
It is well known that parental dental anxiety affects dental anxiety in children [7]. Children may also acquire dental fear through social learning from siblings, other relatives, and friends. Apart from transmitting subtle feelings of fear and anxiety to their children, fearful parents sometimes also interfere with the dental treatment of their child, for example by questioning the need for injections or restorative treatments, or may give accounts from their own negative experiences. On these occasions they may serve as live and powerful negative models of dental anxiety for their children. Studies among adult odontophobic patients by Berggren and Meynert [8] and Moore et al. [9] have reported that negative family attitudes towards dental care and dental fear in the family were common reasons for the development of odontophobia. For many of these adult patients the problems with dental fear and anxiety started in childhood, often even before their first dental visit.
The social situation of the child is likely to be of importance. Children live under different circumstances in modern society, sometimes also on the margins of society in one aspect or another. Dental fear problems have been reported to be more frequent in subpopulations such as immigrants. Groups with lower socioeconomic standards have also been reported to exhibit a higher prevalence of dental anxiety and behavior management problems. It is possible that these differences can be leveled out to some extent in countries where organized free dental care for children is provided. Hence, some studies from Sweden and Norway have failed to establish a relationship between socioeconomic variables and dental fear. One explanation might be that oral health is less affected by socioeconomic standards in these populations. A child who has good oral health runs a smaller risk of caries and filling therapy and thereby a smaller risk of encountering discomfort and pain in the dental situation. Family risk factors (for example, parents not living together and low socioeconomic status) per se are not presumed to influence children’s fear and behavior, but rather to influence parents’ attitudes and behavior, and thereby their ability to guide and support their children during dental treatment. A Swedish study among patients referred for specialized pediatric dental care because of dental behavior management problems reports that the referred children and adolescents more frequently have a “burdensome” life and family situation, including low socioeconomic status, and parents not living together [10].
Children in refugee families are in a vulnerable situation since the children and their parents generally bear traumatic memories and many have post‐traumatic stress syndrome. The numbers of refugee families have increased over the years and it is important to remember that some of them have been involved in war, or have even been subjected to torture, etc. Traumatized parents can have problems supporting their children in oral health behavior as well as in coping with dental care. A dental care situation, with its ingredients of intense lights from the operatory lamp, dental instruments in the mouth, strange tastes, and smells, can lead to flashbacks. For children in such circumstances, the risk of developing dental anxiety is obvious.
Child rearing may also have an impact on how the child will comply with dental treatments. Dental teams often identify factors related to family or upbringing as a cause of problems. The situation for both children and parents has changed over the past few decades and continues to do so. In many countries this has led to an alteration of the role children play in society. Previously, the distinctions between childhood and adulthood were clearer. The adult, a parent, a schoolteacher, or dentist was more clearly the one setting the rules and leading the way. Today, children frequently question adult people’s authority and this certainly affects the dental treatment situation. However, the cultural context of the child can imply great variation on this theme.
Dental factors
One of the most commonly mentioned causes of dental fear/anxiety and behavior management problems is painful dental treatments. Pain is defined by the International Association for the Study of Pain [11] as an unpleasant sensory and emotional experience associated with actual or potential tissue damage, or described in terms of such damage. It is important to acknowledge that the sensation is not necessarily dependent on tissue damage; it may also be generated by conditioned stimuli such as the sound of the drill or a gentle touch of the needle. Since painful stimuli normally bring about physiological and psychological reactions to protect the body from tissue damage, uncooperative behavior is a logical and relevant reaction when a child experiences pain or discomfort. Unfortunately, experiences of pain are not uncommon in child dental care, since it has been shown that many children have, for instance, restorative treatments carried out without local anesthesia [12,13].
Children’s understanding of (and vulnerability to) pain varies considerably depending on cognitive abilities, and the reactions and thoughts concerning painful stimuli vary according to age and maturity [14]. In addition to this, factors such as the child’s socioemotional development, family and social situation, parental support, kind of rapport with the dental team, etc., affect how the child will cope with stress, pain, and discomfort. There is also a growing body of evidence showing that children who have been subjected to painful procedures without adequate anesthesia develop increased perception of pain about future procedures, despite adequate pain control [15]. One strong painful dental stimulus could be enough to cause dental fear and anxiety in a vulnerable child patient. However, repeated exposure to dental treatments that are only somewhat discomforting or a little painful, or are perceived as such by the child, can have the same result. It is, therefore, not acceptable from an ethical point of view to withhold local anesthesia from children, especially as this is a documented way to reduce or even prevent pain.
Perceived lack of control has been shown to be another major triggering factor for behavior management problems and dental fear/anxiety [16]. This may imply that the child patients have not been properly informed about the treatment (informational control), or that they have deprived influence of their own behavior (behavioral control), or even that they are not given sufficient information after the treatment (retrospective control). Painful dental treatment in situations when the child feels lack of control has been shown to be particularly harmful [17].
Discomfort goes hand in hand with pain and children frequently have problems distinguishing between the two. Discomfort can represent a psychological comprehension of a stressful situation. This is often experienced in novel situations, if the child is frightened about what will happen, or feels lack of control, etc.
It seems possible to assume that a large proportion of the behavior management problems and refusal to go along with treatment reflects the fact that children are fearful, particularly when they perceive pain, discomfort, or stress. These are normal and fully adequate reactions, especially in young children lacking experience of their own coping ability. However, it is still an important task for the dental team to prevent these adverse reactions and, if they occur, to handle them properly in order to prevent further development of dental anxiety.
The dental team has a delicate task when treating child patients. They represent authority and can, if perceived in this way, imply a threat or something frightening to some children. The attitudes towards children among dentists and other members of the team are important as to how they behave and interact when treating children. As attitudes also include cognition it is important that dental personnel working with children have a good knowledge not only of dentistry, but also of children, child development, and child psychology. Child competency is a concept grounded in the United Nations (UN) Convention on the Rights of the Child. It encompasses the knowledge and competencies we need to have in order to fulfill the requirements that the convention states regarding personnel within the health sector. In order to provide high‐quality comprehensive care including communication with the child patient and his or her family we as dentists need to ensure that we acquire and maintain child competency.
Principles of management
This section deals with the use of psychological techniques for the prevention of behavior management problems and dental fear/anxiety/phobia, as well as how to manage children displaying such problems. Knowledge of the multiple and interacting etiologic factors of fear, anxiety, and behavior management problems is necessary in order to be successful in these tasks. As already explained, etiologic factors can be described within three domains:
· personal factors
· external factors
· dental factors.
The first two of these determine how vulnerable the child is when entering the dental clinic. Irrespective of age, some children are very robust and tolerate a lot, while others are vulnerable and respond negatively even to minor stress stimuli. The dental staff has no influence on this, but they must be sensitive and adapt their behavior and treatment strategy to it. Dental factors are those that the dental staff are able to control. The prevention of pain and discomfort combined with the establishment of a good psychological relationship with the child and his or her parents on the one hand, and the dental team on the other, are the major issues.
A complex network of interactions arises between the child, parent, dentist, and dental assistant when uncooperative or fearful children are treated. Each attempt to treat must be preceded by diagnosis and planning, which, for children, also involves the parent to a varying degree. The concept of informed consent, parental permission, and assent from the child has been adopted from pediatric care, and the parent’s involvement during treatment has become standard. Thus, in addition to being a source of information, the parent is participating in a shared decision‐making and treatment‐planning process and is more likely to comply and adequately support their child when actively involved and informed. A relationship built on trust, empathy, and mutual respect gains patient cooperation.
The suggested treatment techniques are based on the principles of cognitive behavioral therapy (CBT) [18] and allow implications for prevention as well as treatment of dental fear/anxiety and/or behavior management problems. The cognitive component in CBT seeks to identify the beliefs that generate fear and avoidance in the clinical situation, and to produce a cognitive change in these beliefs. This is combined with behavioral exercises in which the child is helped to test his or her threat beliefs.
The practice of CBT in pediatric dentistry involves two basic issues:
· creating a safe environment
· graded exposure to feared stimuli.
Creating a safe environment
When a child is accompanied by his or her parents, it is necessary to establish an equally good and respectful communication with both the child and the adult (Box 6.4). This is an absolute prerequisite for founding the platform on which the diagnosing, treatment planning, and shared decision‐making have to take place. Time used for rapport building at the beginning of a treatment should be seen as a necessary investment in the relationship, which can be assumed to “repay” itself many times over during a child’s dental care career. If for some reason it is difficult to establish a good rapport and relationship with the child and/or parents, it is usually a good idea to have another dentist involved.
Box 6.4 Communication
· Must be adapted to age and maturity of the child
· Should include the parents
· Includes sending as well as receiving messages
· A message is not communicated until it has been received
· Can be verbal and nonverbal
· Nonverbal communication is at least as important as spoken words to anxious patients
Small children should not be separated from their parents during this initial phase, since the separation anxiety may increase their general stress levels and decrease their capability for communication. More mature children and adolescents must feel a reasonable level of equity in the situation. Even if their behavior and attitudes frequently are provocative, they must not be treated in a patronizing way. Keeping these very simple strategies in mind when taking the history in the beginning of a dental visit, as well as during the subsequent oral examination and dental treatment, is the key to the establishment of a good psychological environment in the treatment situation (see also Chapter 3).
Most anxious children fear that some kind of catastrophe may occur, e.g., that the dentist suddenly will do something painful. In order to alter such negative thoughts, it is important to establish reliable confidence between the dental staff and the child that information will be given and consent obtained before anything happens. Confidence is a prerequisite for a successful result of exposure treatment, since the exposures may create unpleasant fear reactions.
It is, further, important that the child patient, irrespective of age, has a number of pain‐free appointments without any adverse events prior to experiencing treatments that could include discomfort or pain. Repeated successful and pain‐free dental visits can “vaccinate” or protect the child against dental anxiety. This process is termed “latent inhibition” and may protect individuals who experience painful or traumatic events during later treatment sessions [19]. The latent inhibition phenomenon is supported by several studies and constitutes a powerful argument for providing regular dental visits and care to all children, preferably focusing on the maintenance of good oral health.
Dentists should realize that some treatment could be perceived as painful, e.g., injection of local anesthesia. Prior to any possibly painful events the dentist must, apart from using techniques to reduce the pain, inform the child about what can be expected and suggest strategies to cope with it. This will, by decreasing surprise and increasing predictability and control, lead to lower immediate feelings of fear and possibly have the same effect in a longer perspective. Weinstein et al. [20] identified effective and ineffective interactions between the dental personnel and preschool patients. Generally, it is important to provide specific guidance to the child, using terms that are easily understood. Clear and concise directives, such as “Open your mouth a bit more, please” instead of “Could you open your mouth?” were more effective. Also when giving feedback, it is important to be specific, for example, by saying “You are doing a great job by holding your head so still” instead of “You are doing perfectly.” Coercion (threats) and coaxing (pleas) are ineffective behavior management procedures, while questioning for feelings tends to be followed by reduced fear. Further, the clinicians should focus on what they want the child to do, and thereby prevent problematic behaviors, instead of trying to stop or slow down such behaviors when they emerge.
When treating dental fear and anxiety in children it is important to bear in mind that the etiology is both multifactorial and complex. Often the case history of the child indicates that explanatory factors can be found in all three domains of etiologic factors (personal, external, and dental factors). However, many patients focus the cause of their problems on anticipations or experiences in the dental setting. Sometimes, the application of behavioral treatment strategies within the field of dentistry may, unintentionally, have positive side‐effects on the patient’s general well‐being as well as on the psychosocial situation. However, for some patients, their problems with dental treatment is part of a more complex context and if the treatment repertoire available within dentistry turns out to be inadequate, the dentist should be prepared to consult a specialized pediatric dentist or a specialist in child psychology or child psychiatry.
Graded exposure by “tell–show–do”
All children, irrespective of their vulnerability and treatment need, benefit from proper introduction or re‐introduction and guidance how to cope with different steps in dental examinations and treatment procedures. Most children are easy and quick to familiarize with dental treatment, while some are very difficult to introduce and need a lot of time for this.
After having disclosed the child’s dental experience and beliefs about feelings and coping ability, the procedure is explained to him or her in a comprehensive way. Then the child is exposed step by step to potential anxiety‐provoking instruments and procedures where each step creates a moderate increase in stress and fear, and the patient is kept in this exposure situation until he or she experiences a decrease in fearful reactions (Figure 6.3). A feeling of ability to cope with the stimuli is thereby created. If the exposure is interrupted before the fear decreases, for example by avoiding or interrupting the exposure, the level of fear increases and creates a feeling of defeat and lack of coping.

Figure 6.3 Exposure curve. If a patient is kept long enough in an exposure situation perceived as moderately stressful, the fear reaction will eventually decrease. This will create a feeling of ability to cope with the stimulus (red curve). If, however, the exposure is interrupted before the fear reaction decreases, the feelings of defeat and lack of coping usually increase the anxiety (blue curve).
The different steps and order in the exposure staircase must be adapted to the individual situation. The one illustrated in Figure 6.4 has been suggested by Holst [21] for the first dental visit of young children. During each step of exposure the “tell–show–do” technique is used. The child is first told what will happen including possible sensations and guidance how to behave adequately, then shown, and finally exposed to the procedure (Figure 6.5). If the child positively accepts the procedure, his or her impression of coping must be reinforced by making the child aware of his or her capability (feedback). If the acceptance is negative, the child should be met with empathy and given more training on the previous step. The first exposures may be performed before the child is seated in the chair. If the child is reluctant to get into the chair alone, he or she could be seated on the parent’s lap. After the oral examination and prevention steps, the individual treatment need will determine the next exposure steps. If invasive dental treatment is needed, such as restorative or surgical therapy and local anesthesia, exposure steps must comprise all of the procedural steps of the relevant treatment (see section “Systematic desensitization”).

Figure 6.4 Behavior shaping based on the exposure technique. Introductory steps to the dental situation for the first dental visit for young children.
Source: Holst 1988 [21]. Reproduced with permission of Swedish Dental Association.


Figure 6.5 A 3‐year‐old girl at her first dental visit. Behavior shaping by use of the exposure technique to introduce low speed for prophylaxis. (a) After telling the child what will happen (polishing the teeth) the low‐speed polisher is demonstrated to her. (b) The child experiences the vibrations from the low speed. (c) The low‐speed polisher is exposed closer to her, polishing a finger nail, (d) polishing tip of nose, (e) polishing the teeth while the child is still keeping a hand on the polisher to sense control. (f) The child feels safe and able to control the situation and rests her hands on her stomach.
This guided and graded exposure procedure is the basis for future compliance with dental treatment. Most kinds of behavior management problems are prevented if enough time and consciousness are invested in this introductory phase of treatment. For most children, it is quick and demands minor use of time. However, there are some vulnerable children for whom it may be more time consuming. Examples of such risk groups are children from refugee and immigrant families, medically or socially compromised children who have a long history of previous pain and suffering, children who for other reasons are sensitive to procedural pain, very shy children, and children with a strong gag reflex. These children may even be extremely sensitive to negative experiences, and unless in a definite emergency situation, there is no excuse for omitting proper introduction before dental treatment.
The introductory guided graded exposure procedure may, in general, be performed by any kind of dental personnel. It is probably cost‐efficient to have a dental hygienist or dental assistant do the routine introduction to dentistry among the youngest children who come for their first visit, since most of them have no restorative treatment need. However, it must be pointed out that when children are trained for the more stressful procedures, such as restorative care and surgery, the compliance is dependent on the child’s relationship to the operator, and not to any other person.
Systematic desensitization
This section deals with methods to be used when children for some reason are unable to cope with dental treatment, e.g., that they have developed dental anxiety or odontophobia. Since there are so many types of dental anxiety among children, the first step will be to evaluate the nature of the problem and to identify the most anxiety‐provoking procedures, and particularly to unveil types of catastrophic thoughts.
The method of choice for desensitizing a child for invasive dental treatment is based on the theory of CBT, in which cognitive restructuring is combined with behavioral exposure. The procedure is similar to the graded exposure by “tell–show–do” technique, but strengthens the cognitive component and highlights the role of pairing the feared stimuli with a positive or neutral stimulus as for example positive imagery or relaxation [22]. The steps in the staircase constitute a hierarchy of anxiety‐provoking stimuli.
As previously stated, the child needs to feel safe in the dental clinic before unpleasant procedures are initiated. The most important consideration during the first treatment phase is therefore not the type of dental treatment achieved, but giving the child a set of positive experiences during subsequent dental visits and thereby a sense of coping ability. A number of previous positive experiences with dental treatment are beneficial for compliance, while negative experiences are destructive (Box 6.5). In cases of severe anxiety or phobia, this procedure may sometimes be extremely time consuming, and it may be helpful for dentists to view themselves more as psychologists than dentists during this phase of treatment. Investing time at this point pays off.
Box 6.5 Dental treatment for children is like keeping a bank account
Positive experiences represent savings, while negative experiences are synonymous with withdrawals. When the day comes that the child must face an unpleasant experience in the dental chair, his or her coping ability depends on the “account status.”
Many children are fearful of dental injections, occasionally as a symptom of BII phobia. Nevertheless, the use of local anesthesia is of utmost importance for painless dental treatment. A main issue is, therefore, to get the child to accept this part of the treatment. An example of exposure therapy of local anesthesia is illustrated in Figure 6.6. The stepwise procedure ensures that the child has substantial knowledge about what is going on, minimal pain stimulation, and a certain sense of control (“tell–show–do”). Only small steps must be taken at each exposure. The “toolbox” comprises techniques that may be used during the exposure to help the child control any fear reaction before proceeding to the next step. How these techniques are applied depends on the age and maturity of the child. Paced breathing, which is an extremely effective technique for bringing fear reactions down by generating parasympathetic stimulation, may, for example, be applied with small children by having them blow a windmill toy, blow up a balloon, etc. A relaxation exercise implies focusing on special muscles or body parts, alternately contracting and relaxing them. In addition to making the muscles more relaxed and thereby feeling that the whole body becomes less tense, the method is also effective for distraction. Other methods of distraction are story telling, imagery of television programs, having the child play with the vacuum or saliva ejector, etc. It must, however, be realized that these techniques are mostly effective in reducing stress during painless procedures and are not a substitute for the use of local anesthesia during invasive procedures. The use of hypnotherapy may also be useful in children who are disposed for this and where the therapist is familiar with these kinds of techniques. The combined use of relaxation, distraction, and monotony bring many children easily into a light trance, which may be useful in reducing pain and discomfort.

Figure 6.6 Example of exposure steps in desensitization for children who are unfamiliar with or fearful of local anesthesia. The words in parentheses are used to make the child familiar with the procedures of the steps.
It should be noted that children who are fearful of injections due to BII phobia may display a unique diphasic autonomic nervous reaction as described by Dahllöf and Öst [23]. This phenomenon is characterized by an initial sympathetic stimulation followed by a massive parasympathetic (vagal) reaction, which makes the patient faint or at least feel dizzy. This reaction is extremely unpleasant for many children, and should be prevented. It should be pointed out that the use of relaxation techniques is contraindicated in these situations, while Hellström et al. [24] have shown applied tension of the muscles to be useful.
Similar graded exposure and desensitization exercises can be applied to several kinds of treatment procedures, e.g., restorative treatment, where the potential fear‐provoking stimuli (steps in the staircase) are the sight of the drill, the sound of the drill, the feeling of the drill rotating on a tooth, the rubber dam, the matrix system, etc.
During such rehearsals in coping with dental care, the child must not be subjected to any nociceptic pain stimuli until he or she is familiar with the procedures. After that, when they have acquired a certain level of confidence in their own coping ability, most children are able to cope with small and short‐lasting pain stimuli.
Behavioral techniques in combination with sedatives
The use of sedatives and pain‐relieving pharmaceuticals is discussed in Chapter 9. However, since the use of these methods normally must be in combination with the behavioral methods, they are briefly discussed here as well.
The major goal of sedative use in children’s dentistry, such as nitrous oxide and benzodiazepines, is to provide a light (conscious) sedation, which makes the child more responsive to the behavioral techniques. The goal is usually not to have them so deeply sedated that they are unable to cooperate during the treatment, because deep sedation may be accompanied by loss of the protective reflexes and thereby increased risks for aspiration. Conscious sedation, where the children are able to keep their mouth and eyes open as well as to communicate and cooperate, usually increases the effectiveness of the behavioral techniques previously described, and should therefore be applied in cases where dental treatment is expected to be particularly stressful. Typical examples of such indications are emergency cases, small children with complicated treatment need, and children with generally low coping ability (e.g., children with learning disabilities).
After having achieved a suitable level of sedation, a similar exposure therapy as described above could preferably be adapted, using “tell–show–do” as the basic tool. However, it must be realized that a child’s memory may have been reduced by the medication, and that he or she therefore may forget what was experienced. The child’s attention should be kept all the time, even though it is usually easy to distract. Paced breathing reduces the stress reactions, and is also valuable for the control of the breathing capacity. Since sedatives (i.e., benzodiazepines) usually create a certain degree of amnesia, it should be realized that the child’s lasting memory of what was experienced may have been reduced. This may be both positive (for negative experiences) and negative (for positive experiences) for a child’s future coping ability and learning.
Emergency situations
Emergency situations are the most troublesome with respect to the prevention of dental fear and anxiety, since children frequently have to undergo painful and unpleasant procedures without having the necessary coping ability. These are the typical dental treatment situations where children are exposed to pain without having the feeling of control. It is, therefore, of utmost importance that dentists, before carrying out such treatment, evaluate the degree of emergency of the situation and explore possible treatment alternatives. Toothache itself is not a definite reason for exposing a reluctant child to potentially painful treatment under restraint, since toothache usually passes and can be treated by analgesics. Even infection in a pulp or jaw is not in itself a reason, since it can be temporarily controlled by antibiotics. Whenever an emergency situation occurs that involves a child who is unable to cope with the optimal treatment, one should look for alternative treatment methods which allow postponement of the unpleasant or painful procedure and time to make the child behaviorally conditioned to tolerate it. Keeping in mind the basic principle of having the patient’s or parents’ informed consent before doing any kind of treatment, different alternatives must be presented to them before a decision is taken.
However, there are emergency cases in pediatric dentistry that demand immediate intervention. Before treatment, these are some issues to consider: (a) the use of sedation combined with a gradual exposure technique reduces the child’s perception and memory of pain and stress, and (b) involving the accompanying parent in the preparation as well as, if necessary, in restraint of the child will increase the child’s feeling of control and decrease its feeling of being offended. In the treatment decisions it is essential, from an ethical point of view, that the treatment and treatment modes are beneficial to the child in a long‐term perspective. If the dentist has to choose between two alternatives, the alternative that gives positive long‐term effects should be given priority before alternatives that may be efficient in a shorter perspective, but counterproductive in the long run.
Specialized pediatric dentists
Dental anxiety and behavior management problems are the most frequent reasons for referral to specialized pediatric dentists, at least in Sweden. It may be reasonably asked whether these dentists should have a particular responsibility for the treatment of children showing fear/anxiety or behavior management problems, thus being a resource for high‐quality dental care for those needing special attention. However, it is our opinion that all dentists treating child patients must have substantial knowledge of and engagement in how to prevent behavior management problems and dental anxiety as well as in how to identify and handle children with these problems. The specialized pediatric dentist should be able to take care of individual cases of high complexity, as well as being a source of up‐to‐date knowledge and competency for other dentists in a region.
By collaborating with those in charge of the evaluation and supervision of the dental health programs and strategies for children in the region, the specialized pediatric dentist may contribute as an instance of quality assurance in this field. Quality assurance can be handled from several different aspects depending on who or what you represent. It is possible to identify several perspectives regarding dental anxiety. There are the patients’ expectancies of oral health and quality in dental care; society’s request that high‐quality care is provided to all citizens at a low cost; caregivers’, primarily dentists’, wishes to carry out dental treatment of good quality with little or no side‐effects, etc. Unfortunately, almost all descriptions of satisfaction, success in treatment, etc., consist of information compiled by professionals. The children are rarely asked. Therefore, it is important that specialized pediatric dentists also support a strategy where the viewpoints of children are asked for and are considered throughout the work. This is in line with the UN Convention on the Rights of the Child. In cases where children cannot be involved, specialized pediatric dentists should represent the child patients’ points of views in that they try to take their perspectives and substitute for the autonomy of children when necessary.
In order to ensure that children are treated according to high clinical standards, specialized pediatric dentists should be included in the working groups that plan dental care within public dental health systems. This planning should include strategies aimed at preventing anxiety and cooperation problems.
References
1. 1. Klingberg G, Broberg AG. Dental fear/anxiety and dental behaviour management problems in children and adolescents – a review of prevalence and concomitant psychological factors. Int J Paediatr Dent2007;17:391–406.
2. 2. Milgrom P, Mancl L, King B, Weinstein P. Origins of childhood dental fear. Behav Res Ther 1995;33:313–19.
3. 3. Arnrup K, Broberg AG, Berggren U, Bodin L. Lack of cooperation in pediatric dentistry – the role of child personality characteristics. Pediatr Dent 2002;24:119–28.
4. 4. Blomqvist M, Holmberg K, Fernell E, Ek U, Dahllöf G. Oral health, dental anxiety, and behavior management problems in children with attention deficit hyperactivity disorder. Eur J Oral Sci 2006;114:385–90.
5. 5. Gillberg C. Epidemiological overview. In: Gillberg C, ed. Clinical child neuropsychiatry. Cambridge: Cambridge University Press, 1995; 4–11.
6. 6. Faraone SV, Sergeant J, Gillberg C, Biederman J. The worldwide prevalence of ADHD: is it an American condition? World Psychiatry 2003;2:104–13.
7. 7. Themessl‐Huber M, Freeman R, Humphris G, MacGillivray S, Terzi N. Empirical evidence of the relationship between parental and child dental fear: a structured review and meta‐analysis. Int J Paediatr Dent2010;20:83–101.
8. 8. Berggren U, Meynert G. Dental fear and avoidance: causes, symptoms, and consequences. J Am Dent Assoc 1984;109:247–51.
9. 9. Moore R, Brodsgaard I, Birn H. Manifestations, acquisition and diagnostic categories of dental fear in a self‐referred population. Behav Res Ther 1991;29:51–60.
10. 10. Gustafsson A, Arnrup K, Broberg AG, Bodin L, Berggren U. Psychosocial concomitants to dental fear and behavioural management problems. Int J Paediatr Dent 2007;17:449–59.
11. 11. International Association for the Study of Pain, 2012. http://www.iasp‐pain.org/Taxonomy?navItemNumber=576#Pain (accessed October 2014).
12. 12. Milgrom P, Weinstein P, Golletz D, Leroux B, Domoto P. Pain management in school‐aged children by private and public clinic practice dentists. Pediatr Dent 1994;16:294–300.
13. 13. Murtomaa H, Milgrom P, Weinstein P, Vuopio T. Dentists’ perceptions and management of pain experienced by children during treatment: a survey of groups of dentists in the USA and Finland. Int J Paediatr Dent 1996;6:25–30.
14. 14. McGrath PA, Miller LM. Modifying the psychological factors that intensify children’s pain and prolong disability. In: Schechter NL, Berde CB, Yaster M, eds. Pain in infants, children, and adolescents, 2nd edn. Philadelphia, PA: Lippincott Williams & Wilkins, 2002; 85–104.
15. 15. Fitzgerald M, Howard R. The neurobiologic basis of pediatric pain. In: Schechter NL, Berde CB, Yaster M, eds. Pain in infants, children, and adolescents, 2nd edn. Philadelphia, PA: Lippincott Williams & Wilkins, 2002; 19–42.
16. 16. Weinstein P, Milgrom P, Hoskuldsson O, Golletz D, Jeffcott E, Koday M. Situation‐specific child control. A visit to the dentist. Behav Res Ther 1996;34:11–21.
17. 17. Milgrom P, Vignehsa H, Weinstein P. Adolescent dental fear and control: prevalence and theoretical implications. Behav Res Ther 1992;30:367–73.
18. 18. Hollon SD, Beck AT. Cognitive and cognitive‐behavioral therapies. In: Lambert MJ, ed. Bergin and Garield’s handbook of psychotherapy and behaviour change, 5th edn. New York: John Wiley, 2004; 447–92.
19. 19. Davey GC. Dental phobia and anxieties: evidence for conditioning processes in the acquisition and modulation of a learned fear. Behav Res Ther 1989;27:51–8.
20. 20. Weinstein P, Getz T, Ratener P, Domonto P. The effect of dentists’ behaviors on fear‐related behaviors in children. J Am Dent Assoc 1982;104:32–8.
21. 21. Holst A. Behaviour management problems in child dentistry. Frequency, therapy and prediction. Thesis. Malmö: Faculty of Odontology, University of Lund, 1988. Swed Dent J 1988; Suppl 54.
22. 22. Porritt J, Marshman Z, Rodd HD. Understanding children's dental anxiety and psychological approaches to its reduction. Int J Paediatr Dent 2012;22:397–405.
23. 23. Dahllöf O, Öst LG. The diphasic reaction in blood phobic situations: individually or stimulus bound? Scand J Behav Ther 1998;27:97–104.
24. 24. Hellström K, Fellenius J, Öst LG. One versus five sessions of applied tension in the treatment of blood phobia. Behav Res Ther 1996;34:101–12.
25. 25. Klingberg G. Dental fear and behavior management problems in children. A study of measurement, prevalence, concomitant factors, and clinical effects. Thesis. Gothenburg: Faculty of Odontology, Göteborg University, 1995. Swed Dent J 1995; Suppl 103.
26. 26. Buss AH, Plomin R. Temperament: early developing personality traits. Hillsdale, NJ: Lawrence Erlbaum, 1984.