The mammalian nervous system uses dozens of different neurotransmitters that act on >100 types of receptors; these receptors stimulate numerous second-messenger systems, which in turn regulate several dozen ion channels and enzymes. We call these pathways of synaptic signaling the transmitter systems. It is not enough to know the identity of a transmitter to predict its effect—one must also know the nature of the components that it interacts with, and these components may vary from one part of the brain to another and even between parts of a single neuron. The components of the transmitter systems are extremely complex. This subchapter introduces the intricate and vital web of neurotransmitters. The clinical importance of the subject is difficult to overstate. It is likely that most drugs that alter mental function do so by interacting with neurotransmitter systems in the brain. Disorders of neurotransmitter systems are also implicated in many devastating brain disorders, such as schizophrenia, depression, epilepsy, Parkinson disease, the damage of stroke, and drug addiction.
Most of the brain's transmitters are common biochemicals
Most neurotransmitters are similar or identical to the standard chemicals of life, the same substances that all cells use for metabolism. Transmitter molecules can be large or small. The small ones, such as the amino acids glutamate, aspartate, GABA, and glycine, are also simple foods (Fig. 13-8A). Cells use amino acids as an energy source and for construction of essential proteins, but they have co-opted these common molecules for essential and widespread messenger functions in the brain. Another important class of small neurotransmitters is the amines, including the monoamines (e.g., ACh, serotonin, and histamine) listed in Figure 13-8B and the catecholamines (e.g., dopamine, norepinephrine, and epinephrine) listed in Figure 13-8C. Neurons synthesize these small transmitters by adding only a few chemical steps to the glucose and amino-acid pathways that are present in every cell. Purine derivatives can also be important transmitters. For example, a key molecule of cell metabolism that also serves as a neurotransmitter is ATP, which is the major chemical intermediate of energy metabolism and is present in many synaptic vesicles. It is also released from various synapses in the central and peripheral nervous systems. ATP appears to be the transmitter responsible for sympathetic vasoconstriction in small arteries and arterioles, for example. ATP acts on a variety of nucleotide receptors, both ionotropic and metabotropic. Adenosine is also a transmitter in the CNS.

FIGURE 13-8 Biosynthesis of some common small transmitter molecules. CoA, coenzyme A.
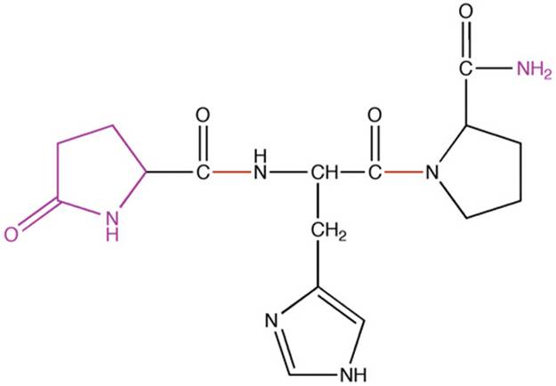
The large-molecule transmitters, which constitute a much more numerous group, are proteins or small bits of protein called neuroactive peptides. A few of the better-studied neuropeptides are shown in Figure 13-9. Many were originally identified in non-neural tissues such as the gut or endocrine glands and were only later found in nerve terminals of the brain or peripheral nervous system. They vary in size from dipeptides (e.g., N-acetylaspartylglutamate) to large polypeptides. Among the neuroactive peptides are the endorphins (endogenous substances with morphine-like actions), which include small peptides called enkephalins. The term opioids refers to all substances with a morphine-like pharmacology—the endorphins (endogenous) as well as morphine and heroin (exogenous).

FIGURE 13-9 Structure of some neuroactive peptides. All peptides are presented with their NH2 termini (i.e., the first to be synthesized) to the left, as is now customary for proteins in general. However, note that for many of the peptide hormones, the amino-acid residues were numbered before this convention was established. The p on the amino-terminal glutamate on some of these peptides stands for pyroglutamate.
N13-7
N13-7
Pyroglutamate and C-Terminal Amides
Contributed by Emile Boulpaep, Walter Boron, with George Farr providing the chemical structures
Figure 13-9 shows several examples of neuroactive peptides in which the N-terminal residue is pyroglutamate (indicated by a p in the structure shown in the figure). Similarly, the figure shows several examples in which the C-terminal residue has an amide.
Pyroglutamate
Figure 58-2 in the text shows the peptide backbone of a generic protein. Imagine that the leftmost (i.e., N-terminal) residue in this figure is the side chain for glutamate (see Table 2-1 in the text for a listing of side chains). A reaction of the carboxyl group on the glutamate side chain with the terminal amino group results in the creation of an amide derivative in the form of a five-membered ring. For example, eFigure 13-3 shows the structure of thyrotropin-releasing hormone (TRH).

EFIGURE 13-3 Structure of the tripeptide TRH.
This post-translational modification of a glutamate residue is called a pyroglutamate residue. In the figure, the peptide bonds are shown in red. The pyroglutamate is the magenta ring structure at the left.
C-Terminal Amide
Figure 58-2 shows the peptide backbone of a protein. Notice that the rightmost (i.e., C-terminal) residue in this figure has a free carboxyl group. If this carboxyl group undergoes a reaction that transfers an –NH2, the result is an amide group (in the carboxyl-terminal residue of Figure 58-2, replace the O− group with NH2). In the above figure, this amide is the magenta –NH2 at the right.
For comparison, eFigure 13-4 shows a hypothetical tripeptide without the pyroglutamate at the N terminus and without the C-terminal amide.

EFIGURE 13-4 Structure of a hypothetical TRH-like tripeptide that, unlike TRH, lacks the N-terminal pyroglutamate and the C-terminal amide.
The synthesis of most neuropeptides begins like that of any other secretory protein (see p. 34), with the ribosome-directed assembly of a large prehormone. The prehormone is then cleaved to form a smaller prohormone in the Golgi apparatus and further reduced into small active neuropeptides that are packaged into vesicles. Thus, the synthesis of neuropeptides differs significantly from that of the small transmitters.
In summary, then, the neurotransmitters consist of a dozen or so small molecules plus 50 to 100 peptides of various sizes. The small transmitters are, as a rule, each stored and released by separate sets of neurons, although some types of neurons do use two or more small transmitters. The peptides, however, are usually stored and released from the same neurons that use one of the small transmitters (Table 13-1), an arrangement called colocalization of neurotransmitters. Thus, GABA may be paired with somatostatin in some synapses, serotonin and enkephalin in others, and so on. The colocalized transmitters may be released together, but of course each acts on its own receptors. In addition, both clear and dense-core vesicles contain ATP as well as their primary transmitter.
TABLE 13-1
Examples of Neuroactive Peptides That Colocalize with Small-Molecule Neurotransmitters
|
SMALL MOLECULE |
COLOCALIZING PEPTIDE(S) |
|
ACh |
CGRP Enkephalin Galanin GnRH Neurotensin Somatostatin and enkephalin Substance P VIP |
|
Dopamine |
CCK Enkephalin Neurotensin |
|
Epinephrine |
Enkephalin Neuropeptide Y Neurotensin Substance P |
|
GABA |
CCK Enkephalin Neuropeptide Y Somatostatin Substance P VIP |
|
Glutamate |
Substance P |
|
Glycine |
Neurotensin |
|
Norepinephrine |
Enkephalin Neuropeptide Y Neurotensin Somatostatin Vasopressin |
|
Serotonin |
CCK Enkephalin Substance P and TRH TRH |
CCK, cholecystokinin; CGRP, calcitonin gene–related peptide; GnRH, gonadotropin-releasing hormone; TRH, thyrotropin-releasing hormone; VIP, vasoactive intestinal peptide.
Data from Hall ZW: An Introduction to Molecular Neurobiology. Sunderland, MA, Sinauer, 1992.
One of the unique substances functioning as a transmitter is a gaseous molecule, the labile free radical nitric oxide (NO). Carbon monoxide (CO) and hydrogen sulfide (H2S) may also serve as transmitters, although evidence thus far is equivocal. NO is synthesized from L-arginine by many cells of the body (see p. 66). NO and CO can exert powerful biological effects by activating guanylyl cyclase, which converts GTP to cGMP. As a neurotransmitter, NO may have unique functions. It seems to be released from both presynaptic and what we normally think of as postsynaptic neurons. Because NO is not packaged into vesicles, its release does not require an increase in [Ca2+]i, although its synthesis does. NO may sometimes act as a retrograde messenger, that is, from postsynaptic to presynaptic structures.
N13-2 Because NO is small and membrane permeable, it can diffuse about much more freely than other transmitter molecules, even penetrating through one cell to affect another beyond it. On the other hand, NO is evanescent, and it breaks down rapidly. The functions of gaseous transmitters (or “gasotransmitters”) are now being vigorously studied and hotly debated.
N13-2
NO as a Neurotransmitter in the CNS
Contributed by Barry W. Connors

EFIGURE 13-2 NO synthesis in a central neuron. Presynaptic glutamate release triggers the entry of Ca2+ through NMDA glutamate receptor channels or voltage-gated Ca2+ channels. Via calmodulin (CaM), Ca2+ stimulates nitric oxide synthase (NOS; see pp. 66–67). NO diffuses out and through cells to affect presynaptic and postsynaptic elements of the same synapse or of nearby synapses. ER, endoplasmic reticulum; NADPH, reduced nicotinamide adenine dinucleotide phosphate.
The endocannabinoids are another unusual group of putative neurotransmitters. They include the endogenous lipophilic molecules anandamide (from ananda, the Sanskrit word for “internal bliss”) and 2-arachidonoyl glycerol (2-AG), both of which are arachidonic acid metabolites. These substances are called endocannabinoids because they mimic Δ9-tetrahydrocannabinol (THC), the active ingredient in marijuana, by binding to and activating specific G protein–coupled “cannabinoid” receptors. Remarkably, the brain has more cannabinoid receptors than any other GPCR type. Certain activated neurons synthesize and release endocannabinoids, which move readily across membranes to presynaptic terminals and modulate the further release of conventional transmitters such as GABA and glutamate. Their normal role in the brain is currently unknown. However, activation of cannabinoid receptors with low doses of THC leads to euphoria, relaxed sensations, decreased pain, and increased hunger; it can also impair problem-solving ability, short-term memory, and motor skills. High doses can alter personality and sometimes trigger hallucinations. THC and related drugs have promise for treatment of the nausea and vomiting of cancer patients undergoing chemotherapy, suppression of chronic pain, and stimulation of appetite in some patients with acquired immunodeficiency syndrome (AIDS).
Most of the chemicals we call neurotransmitters also exist in non-neural parts of the body. Each chemical may serve dual purposes in that it can mediate communication in the nervous system but do something similar or even entirely different elsewhere. Amino acids, of course, are used to make protein everywhere. NO is a local hormone that relaxes the smooth muscle in blood vessels (see p. 480). Surprisingly, the cells with the highest ACh levels are in the cornea of the eye, although corneal cells lack specific receptors for ACh. It is not clear what ACh does for corneal cells, but it almost certainly is not acting as a transmitter. One of the most interesting nonmessenger functions of transmitter molecules is their role in the development of the brain, even before synapses have appeared. At these early stages of development, transmitters may regulate cell proliferation, migration, and differentiation, somehow helping to form the brain before they help operate it.
Synaptic transmitters can stimulate, inhibit, or modulate the postsynaptic neuron
Each neuromuscular junction has a simple and stereotyped job: when an action potential fires in the motor neuron, the junction must reliably excite its muscle cell to fire an action potential and contract. Decisions about muscle contractions (where, when, and how much) are made within the CNS, and the neuromuscular junction exists simply to communicate that decision to the muscle unambiguously and reliably. To perform this function, neuromuscular transmission has evolved to be very strong so that it is fail-safe under even the most extreme of physiological conditions.
Synapses between neurons usually have a more subtle role in communication, and they use a variety of mechanisms to accomplish their more complex tasks. Like neuromuscular junctions, some neuron-neuron synapses (excitatory) can rapidly excite. However, other synapses (inhibitory) can cause profound inhibition by decreasing postsynaptic excitability directly (postsynaptic inhibition). In a third broad class of synapse (modulatory), the synapse often has little or no direct effect of its own but instead regulates or modifies the effect of other excitatory or inhibitory synapses by acting on either presynaptic or postsynaptic membranes. These three basic types of neural synapses are exemplified by their input to the pyramidal neuron of the cerebral cortex. In the example shown in Figure 13-10, a pyramidal neuron in the visual cortex receives an excitatory synaptic input from the thalamus (with glutamate as the neurotransmitter), an inhibitory synaptic input from an interneuron (with GABA as the neurotransmitter), and a modulatory input from the locus coeruleus (with norepinephrine as the neurotransmitter).

FIGURE 13-10 Synaptic circuitry of the visual cortex. Visual pathways that originate in the retina activate neurons in the lateral geniculate nucleus of the thalamus. These glutamate-containing neurons in turn synapse on cortical pyramidal neurons and produce some excitation. Also within the primary visual cortex, a GABA-containing neuron mediates localized inhibition. Small cells in the locus coeruleus, a brainstem nucleus, make widely divergent connections onto cortical neurons and release norepinephrine and thus produce modulation.
Excitatory Synapses
Pyramidal cells receive excitatory inputs from many sources, including the axons of the thalamus. Most fast excitatory synapses in the brain use glutamate as their transmitter, and the thalamus–to–cerebral cortex synapses are no exception (see Fig. 13-10). Aspartate may also be a transmitter in some regions of the CNS. Both amino acids have similar effects on the postsynaptic excitatory amino-acid receptors. For convenience, these types of synapses are often presumptuously referred to as glutamatergic. These excitatory amino acids bind to a group of fast ligand-gated cation channels. When activated by synaptic glutamate, glutamate-gated channels generate an excitatory postsynaptic potential (EPSP) that is very similar to the one produced by ACh at the neuromuscular junction (see p. 210), except that it is usually much smaller than the EPSP in muscle. In the example shown in Figure 13-11 (left side), glutamate produces the EPSP by activating a nonselective cation channel that has about the same conductance for Na+ and K+. Thus, the reversal potential (see p. 146) of the EPSP is ~0 mV, about midway between the equilibrium potential for Na+ (ENa) and that for K+ (EK). An EPSP from the activation of a single glutamatergic synapse in the cerebral cortex peaks at 0.01 to a few millivolts (depending on many factors, including the size of the postsynaptic cell and the size of the synapse), whereas one neuromuscular EPSP reaches a peak of ~40 mV—a difference of 40- to 4000-fold. Obviously, most glutamatergic synapses are not designed to be fail-safe. It takes the summation of EPSPs from many such synapses to depolarize a postsynaptic neuron to the threshold for triggering an action potential.

FIGURE 13-11 Voltage dependence of EPSPs and IPSPs in the nervous system. An excitatory presynaptic neuron (cell A) and an inhibitory presynaptic neuron (cell B) both synapse on a third neuron (cell C). In this experiment, the investigators injected enough constant current into cell C to initially set the Vm to each of the six values shown in the figure. For each record, the experimenter first stimulated the stimulatory presynaptic neuron to produce an EPSP in the postsynaptic neuron and then stimulated the inhibitory presynaptic neuron to produce an IPSP. These EPSPs and IPSPs reflect the activities of multiple synapses onto cell C. The reversal potential for the EPSP is ~0 mV (i.e., stimulating the stimulatory presynaptic neuron has no effect) because Na+ and K+ conduct through the channel equally well. The reversal potential for the IPSP is at about −71 mV (i.e., stimulating the inhibitory presynaptic neuron has no effect). This value is ECl, which indicates that the IPSP is mediated by a Cl− channel.
Inhibitory Synapses
Skeletal muscle cells in vertebrates have only excitatory synapses. On the other hand, virtually all central neurons have numerous excitatory and inhibitory synapses. Thus, the excitability of most neurons at any moment is governed by the dynamic balance of excitation and inhibition. The inhibitory transmitters GABA and glycine are the transmitters at the large majority of inhibitory synapses. Indeed, the inhibitory synapse between the interneuron and the pyramidal cell in Figure 13-10 uses GABA. Both GABA and glycine bind to receptors that gate Cl−-selective channels (see p. 213). Cl− conductance usually has an inhibitory influence because the equilibrium potential for Cl− (ECl) in neurons is near or slightly negative to the resting potential of the neuron. Thus, the reversal potential for the Cl−-mediated inhibitory postsynaptic potential (IPSP) is the same as the ECl. If Cl− conductance increases, the Vm has a tendency to move toward ECl (see Fig. 13-11, right side). The effect is inhibitory because it tends to oppose other factors (mainly EPSPs) that might otherwise move the Vm toward or above the threshold for an action potential.
Modulatory Synapses
Many forms of synaptic modulation influence the nervous system (see pp. 328–333). As an example, consider the axons arising from the locus coeruleus, which synapse widely on pyramidal cells in the cerebral cortex (see Figs. 13-7A and 13-10). These axons release the transmitter norepinephrine, a classic modulator with multiple effects. Norepinephrine acts on β adrenergic receptors in the pyramidal cell membrane (it may also act on α receptors at the same time). Unlike the actions of the fast amino-acid forms of synaptic transmission, this effect of norepinephrine by itself has little or no obvious influence on the activity of a resting neuron. However, a cell exposed to norepinephrine will react more powerfully when it is stimulated by a strong excitatory input (usually by glutamatergic synapses), as shown in Figure 13-12. Thus, norepinephrine modulates the cell's response to other inputs.

FIGURE 13-12 Modulatory effect of norepinephrine. A, Injecting a neuron from the hippocampus with a sustained depolarizing current pulse leads to a “phasic” action potential response: frequent spiking at the beginning but adaptation as the depolarizing current pulse is maintained. B, The application of norepinephrine causes the spiking that is elicited by the depolarizing current pulse to be sustained longer (“tonic”). C, The cell returns to its control state as in A. (Data from Madison DV, Nicoll RA: Actions of noradrenaline recorded intracellularly in rat hippocampal CA1 pyramidal neurones, in vitro. J Physiol 372:221–244, 1986.)
The molecular mechanisms of neuromodulators are complex and diverse, but all begin with a GPCR that activates an intracellular signal cascade (see pp. 51–66). Binding of norepinephrine to the β adrenergic receptor stimulates the intracellular enzyme adenylyl cyclase, which increases intracellular levels of cAMP (the second messenger), which in turn stimulates other enzymes to increase their rates of phosphorylation. Within the cortical neuron, phosphorylation of one or more types of K+ channel decreases the probability of the channels' being open (see p. 163). Fewer open K+ channels mean higher membrane resistance, greater excitability, and less adaptation of spike firing rates during prolonged stimuli. This K+ channel pathway is but one of the many mechanisms by which norepinephrine can affect cells. Other effects are generated when norepinephrine activates other subtypes of adrenergic receptors and thus different second-messenger systems coupled to different channels or enzymes. Modulatory transmitters allow the nervous system tremendous potential and flexibility to vary its state of excitability.
G proteins may affect ion channels directly, or indirectly through second messengers
GPCRs exist in every cell (see pp. 51–66). In the preceding section we described one example, the receptor for norepinephrine and its second messenger–mediated effect on certain K+ channels. However, norepinephrine alone has at least five major receptor types—two α receptors and three β receptors—that act on numerous effectors. In fact, each transmitter has multiple GPCRs, and their effects are complex and interactive and engage almost all aspects of cell function through several intracellular messenger systems. The various GPCRs can recognize a wide range of transmitter types, from small molecules to peptides.
Activated G proteins can trigger a wide array of responses at synapses by either of the two general pathways introduced in Chapter 3: (1) the G protein may modulate the gating of an ion channel directly or by a very short second-messenger pathway, and (2) the G protein may activate one of several enzyme systems that involve second messengers and subsequent signal cascades.
The first—and simplest—G-protein cascade involves a direct linkage from the receptor to the G protein to the channel and is sometimes called the membrane-delimited pathway.
N13-3 In this case the G protein may be the only messenger between the receptor and the effector. A variety of neurotransmitters use this pathway. For example, in heart muscle, ACh binds to a certain type of muscarinic ACh receptor (M2) that activates a G protein, the βγ subunits of which in turn cause a K+ channel to open (see Fig. 13-13B, below). Other receptors in various cells can modulate other K+ and Ca2+ channels in a similar way.

FIGURE 13-13 Benefits of signal amplification. A, The neurotransmitter (NT) binds directly to a channel, thereby activating it. B, The neurotransmitter binds to a receptor that in turn activates 10 to 20 G proteins (see p. 53). In this example, each βγ subunit directly activates a K+ channel. In addition, each α subunit activates an adenylyl cyclase (AC) molecule, and each AC molecule produces many cAMP molecules that activate protein kinase A (PKA). C, Each activated PKA molecule can phosphorylate and thereby modulate many channels.
N13-3
The Membrane-Delimited Pathway for the Activation of Ion Channels by G Proteins
Contributed by Barry W. Connors
The first evidence for a membrane-delimited pathway came from patch-clamp experiments on inside-out patches containing a muscarinic ACh receptor (M2), the Gs heterotrimeric G protein, and a K+ channel capable of being activated by G proteins. These experiments showed that the G protein's βγ subunits—which remain attached to the membrane—are necessary for activating the K+ channel. Thus, everything that is required for the signal-transduction process to work is present in the small patch of membrane. Some authors have voiced a lingering doubt that the βγ subunits can directly interact with ion channels. An alternative to a direct coupling between G-protein βγ subunits and the channel is that some lipid-soluble “second messenger”—which is also in the plane of the membrane—mediates the interaction between the G-protein βγ subunits and the K+ channel. However, whether the G protein–channel linkage is direct or occurs via some local membrane messenger, receptors and channels must be quite close for the membrane-delimited pathway to work.
Reference
Clapham DE. Direct G protein activation of ion channels? Annu Rev Neurosci. 1994;17:441–464.
One advantage of the membrane-delimited pathway is that it is relatively fast, beginning within 30 to 100 ms—not quite as fast as a ligand-gated channel, which uses no intermediary between receptor and channel, but faster than the many-messenger cascades described next. The membrane-delimited pathway is also localized in comparison to the other cascades. Because the G protein cannot diffuse very far within the membrane, only channels nearby can be affected. This type of coupling also allows flexibility because many types of receptors can be coupled to a variety of channels by use of the appropriate G-protein intermediate.
The other general type of G-protein signaling involves enzyme systems and second messengers, often diffusing through the cytoplasm, to influence an ion channel. The terminology deserves some clarification. Traditionally, the small, diffusible intracellular chemicals (e.g., cAMP, inositol 1,4,5-trisphosphate [IP3]) that help carry the message between a transmitter receptor and a channel are called second messengers. The transmitter itself is counted as the first messenger, but notice that by this logic the receptor is not a messenger at all, even though it transfers a signal from the neurotransmitter to a G protein. The G protein is also not counted as a messenger, nor are the various enzymes that may come before and after the traditional second messenger in any signal cascade. Different cascades involve different numbers of messengers, but obviously, most have many more than two! Alas, the terminology is entrenched, although when we speak of second messengers, one should remember that a multiple-messenger cascade is almost always involved. As an added complication, two or more cascades, each with different types of messengers, may sometimes be activated by one type of receptor (an example of divergence; see below).
In Chapter 3, we discussed three of these longer, and slower, G-protein signal cascades: (1) the adenylyl cyclase pathway, (2) the phospholipase C pathway, and (3) the phospholipase A2 pathway. Each is activated by a different set of receptors, each uses a different G protein, and each generates different intracellular messengers. Some of these messengers dissolve in the watery cytoplasm, whereas others diffuse within the fatty lipid bilayer. The final link in most of the messenger cascades is a kinase.
In a well-known example, cAMP binds to cAMP-dependent protein kinase (protein kinase A), which then phosphorylates amino acids on K+ or Ca2+ channels in the membrane. The addition of phosphate groups to the channel protein changes its conformation slightly, which may strongly influence its probability of being open (see p. 163). On page 542 we discuss the stimulation of the β adrenergic receptor by norepinephrine, which ultimately results in a stronger heartbeat through phosphorylation and opening of myocardial voltage-gated Ca2+ channels. In the pyramidal cell of the hippocampus, stimulation of β adrenergic receptors increases [cAMP]i, which can activate Ca2+ channels but also inhibit some K+ channels. As a result, the cell can fire more action potentials during prolonged stimuli (see Fig. 13-12).
If transmitter-stimulated kinases were allowed to madly phosphorylate without some method of reversing the process, all proteins would quickly become saturated with phosphates and further regulation would become impossible. Protein phosphatases save the day. They act rapidly to remove phosphate groups (see pp. 57–58), and thus the degree of channel phosphorylation at any moment depends on the dynamic balance of phosphorylation and dephosphorylation.
Signaling cascades allow amplification, regulation, and a long duration of transmitter responses
At this point you may be wondering about the perversity of such complex, interconnected, indirect messenger cascades. Do these long chains of command have any benefit? Why not use simple, fast, ligand-gated channels (Fig. 13-13A) for all transmitter purposes? In fact, complex messenger cascades seem to have advantages.
One important advantage is amplification. When activated, one ligand-gated channel is just that: one ion channel in one place. However, when activated, one GPCR potentially influences many channels. Signal amplification can occur at several places in the cascade (see p. 51), and a few transmitter molecules can generate a sizable cellular effect. One stimulated receptor can activate perhaps 10 to 20 G proteins, each of which can activate a channel by a membrane-delimited pathway such as the βγ pathway (see Fig. 13-13B). Alternatively, the α subunit of one G protein can activate an adenylyl cyclase, which can make many cAMP molecules, and the cAMP molecules can spread to activate many kinases; each kinase can then phosphorylate many channels (see Fig. 13-13C). If all cascade components were tied together in a clump, signaling would be severely limited. The use of small messengers that can diffuse quickly also allows signaling at a distance, over a wide stretch of cell membrane.
N3-4 Signaling cascades also provide many sites for further regulation as well as interaction between cascades. Finally, signal cascades can generate long-lasting chemical changes in cells, which may form the basis for, among other things, a lifetime of memories.
Neurotransmitters may have both convergent and divergent effects
Two of the most common neurotransmitters in the brain are glutamate and GABA. Either molecule can bind to any of several kinds of receptors, and each of these receptors can mediate a different effect. This ability of one transmitter to activate more than one type of receptor is sometimes called divergence.
Divergence is a rule among neurotransmitters. Nearly every well-studied transmitter can activate multiple receptor subtypes. Divergence means that one transmitter can affect different neurons (or even different parts of the same neuron) in very different ways. It also means that if a transmitter affects different neurons in different ways, it could be because each neuron has a different type of receptor. However, among transmitter systems that use second messengers, divergence may also occur at points beyond the level of the receptor. For example, norepinephrine can turn on or turn off a variety of ion channels in different cells (Fig. 13-14A). Some of these effects occur because norepinephrine activates different receptors, but some of these receptors may each activate more than one second messenger, or a single second messenger (e.g., cAMP) may activate a kinase that influences numerous different channels. Divergence may occur at any stage in the cascade of transmitter effects.

FIGURE 13-14 Divergence and convergence of transmitter effects on channels. A, One transmitter, norepinephrine (NE) in this case, can activate multiple receptors, which stimulate different G proteins/second messengers, which in turn either stimulate or depress the gating of many types of ion channels. IAHP stands for afterhyperpolarization current, which is mediated by a Ca2+-activated K+ channel. Ih stands for hyperpolarization-activated cation current. B, Multiple transmitters bind to their specific receptors and, by the same or different second-messenger systems, influence the same set of ion channels. DA, dopamine; Enk, enkephalin; PKC, protein kinase C; PLC, phospholipase C; SS, somatostatin; SSTR, somatostatin receptor.
Neurotransmitters can also exhibit convergence of effects. This property means that multiple transmitters, each activating its own receptor type, converge on a single type of ion channel in a single cell. For example, some pyramidal cells of the hippocampus have GABAB, 5-HT1A, A1 (specific for adenosine), and SS (specific for somatostatin) receptors, all of which activate the same K+ channel (see Fig. 13-14B). Furthermore, in the same cells, norepinephrine, ACh, 5-HT, corticotropin-releasing hormone, and histamine all converge on and depress the slow Ca2+-activated K+ channels. Analogous to divergence, the molecular site of convergence may occur at a common second-messenger system, or different second messengers may converge on the same ion channel.
Divergence and convergence can occur simultaneously within neurotransmitter systems, and many of them have chemical feedback regulation built in as well.