Objectives
● The student recognizes several techniques of assessing cardiac mechanical activity:
- Describes echocardiography and other cardiac visualization techniques for estimating cardiac ejection fraction.
● Describes the end-systolic pressure-volume relationship and how it reflects cardiac contractility.
● Given data, calculates cardiac output using the Fick principle.
● Defines cardiac index.
The student understands the physiological basis of the electrocardiogram:
● States the relationship between electrical events of cardiac excitation and the P, QRS, and T waves, the PR and QT intervals, and the ST segment of the electrocardiogram.
- States Einthoven’s basic electrocardiographic conventions and, given data, determines the mean electrical axis of the heart.
● Describes the standard 12-lead electrocardiogram.
There are a variety of methods available to assess cardiac function. Some of these are noninvasive (e.g., auscultation of the chest to evaluate valve function, electrocardiography to evaluate electrical characteristics, and various imaging techniques to assess mechanical pumping action) and others require some invasive instrumentation. This chapter provides a brief overview of some of these commonly used clinical tools.
Measurement of mechanical function
Imaging Techniques
Advances in several noninvasive imaging techniques have made it possible to obtain 2- and 3-dimensional images of the heart throughout the cardiac cycle. Visual or computer-aided analysis of such images provides information useful in clinically evaluating cardiac function. These techniques are especially suited for detecting abnormal operation of cardiac valves or abnormal wall motion. Estimates of cardiac chamber volumes at different times in the cardiac cycle can be used to assess cardiac ejection fraction (i.e., stroke volume divided by end-diastolic volume, SV/EDV), and displacement or deformation imaging can be used to assess cardiac wall strain or strain rate.
Echocardiography is the most widely used of the cardiac imaging techniques currently available. This noninvasive technique is based on the fact that sound waves reflect back toward the source when encountering abrupt changes in the density of the medium through which they travel. A transducer, placed at specified locations on the chest, generates pulses of ultrasonic waves and detects reflected waves that bounce off the cardiac tissue interfaces. The longer the time between the transmission of the wave and the arrival of the reflection, the deeper the structure is in the thorax. Such information can be reconstructed by computer in various ways to produce a continuous image of the heart and its chambers throughout the cardiac cycle. Doppler echocardiography can provide additional information about blood flow velocity and direction across the cardiac valves. It is particularly useful in detecting valve stenosis or insufficiency.
Other imaging techniques are available for assessing cardiac function. Cardiac angiography involves the placement of catheters into the right or left ventricle and injection of radiopaque contrast medium during highspeed x-ray filming (cineradiography). This is often in conjunction with coronary angiography assessing the integrity of the large coronary arteries. Radionuclide ventriculography (also known as multigated acquisition scan or MUGA scan) involves the intravenous injection of a radioactive isotope that stays in the vascular space (usually technetium that binds to red blood cells) with measurement of the changes in intensity of radiation detected over the ventricles during the cardiac cycle. A gamma camera is used to obtain images collected at (i.e., gated to) different times in the cardiac cycle. Positron emission tomography (PET) scans, computed tomography angiography (CTA) scans, and magnetic resonance imaging (MRI) all use other imaging modalities to get estimations of mechanical behavior of the heart.
Left Ventricular Pressure-Volume Loops and End-Systolic Pressure-Volume Relationship
As shown in Figures 3-4, 3-5, and 3-6 (also in Figures 11-4 and 11-5) complete left ventricular pressure volume loops can reveal significant information about loading conditions and cardiac function. A variety of visualization strategies can be used to obtain the volume information but detailed pressure information usually requires an invasive intraventricular cannulation.
However, the end-systolic pressure-volume relationship can be used to assess cardiac contractility. End-systolic volume for a given cardiac cycle is estimated by one of the imaging techniques described above, whereas end-systolic pressure for that cardiac cycle can be obtained from the arterial pressure recorded at the point of closure of the aortic valve (the incisura). Values for several different cardiac cycles may be obtained during infusion of a vasoconstrictor (which increases afterload), and the data plotted as in Figure 4-1 in the context of overall ventricular pressurevolume loops. As shown, increases in myocardial contractility are associated with a leftward rotation in the end-systolic pressure-volume relationship. Decreases in contractility (as may be caused by heart disease) are associated with a downward shift of the line, discussed further in Chapter 11. This method of assessing cardiac function is particularly important because it provides an estimate of contractility that is independent of the end-diastolic volume (preload). (Recall from Figure 34 and from the pressure-volume loop described by the dotted line in Figure 4-1 that increases in preload cause increases in stroke volume without changing the end-systolic volume. Thus, only alterations in contractility will cause shifts in the end-systolic pressure-volume relationship.)

Figure 4-1. The effect of increased contractility on the left ventricular end-systolic pressurevolume relationship.
Note in Figure 4-1 that both the “normal” and “increased contractility” end-systolic pressure-volume lines nearly project to the origin of zero pressure, zero volume. Thus, it is possible to get a reasonable clinical estimate of the slope of the end-systolic pressure-volume relationship (read “myocardial contractility”) from a single measurement of end- systolic pressure and volume. This avoids the need to do multiple tests with vasodilator or vasoconstrictor infusions.
Measurement of Cardiac Output
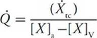
Fick principle : The most accurate (but unfortunately somewhat invasive) way of measuring how much blood is actually pumped by the heart per minute is by the use of the Fick principle described in Chapter 1. Recall that the amount of a substance consumed by an organ or tissues, X tc, is equal to what goes in minus what goes out, which is the arterial- venous concentration difference in the substance ([ X] a-[ X] v) times the blood flow rate,![]()
![]()
This relationship can be algebraically rearranged to solve for blood flow through a given organ:

A common method of determining cardiac output is to use the Fick principle to calculate the collective flow through all systemic organs from (1) the whole-body oxygen consumption rate tc (by monitoring the oxygen uptake from inspired air), (2) the oxygen concentration in arterial blood ([ A] a) obtained from any convenient arterial puncture, and (3) the concentration of oxygen in mixed venous blood ([ A] v) (which is the most difficult to obtain). Generally, the sample for mixed venous blood oxygen measurement must be taken from venous catheters positioned in the right ventricle or the pulmonary artery to ensure that it is a well-mixed sample of venous blood from all systemic organs.
The calculation of cardiac output from the Fick principle is best illustrated by an example. Suppose that a patient is consuming 250 mL of O 2 per minute when his or her systemic arterial blood contains 200 mL of O 2 per liter and the right ventricular blood contains 150 mL of O 2 per liter. This means that, on an average, each liter of blood loses 50 mL of O 2 as it passes through the systemic organs. In order for 250 mL of O 2 to be consumed per minute, 5 L of blood must pass through the systemic circulation each minute:

Indicator dilution techniques : Another method of estimating cardiac output is to determine how much a given substance is diluted by the blood that passes through the heart in a given period of time. In these methods, a known quantity of indicator (a dye or a thermal change induced by a bolus of heated or cooled fluid) is rapidly injected into the blood as it enters the right side of the heart and appropriate detectors are arranged to continuously record the concentration of the indicator in blood as it leaves the left side of the heart. It is possible to estimate the cardiac output from the quantity of indicator injected and the time record of indicator concentration in the blood that leaves the left side of the heart.
Echocardiography : Cardiac output can be estimated non-invasively by this very useful visualization technique. Ultrasound imaging of the changing chamber sizes in diastole and systole can be used to estimate stroke volume. Doppler shifts of the echo from blood flow through the aortic (or mitral) valve allow assessment of blood flow velocity and can be used to estimate stroke volume. Information about cardiac output can be obtained from the product of these estimates of stroke volume and heart rate.
A variety of other methods for estimating cardiac output have been used and may provide useful assessments under various conditions. These include impedance cardiography, MRI, and pulse pressure evaluations.
Cardiac Index
Normal cardiac outputs are directly dependent on an individual’s size.
For example, the cardiac output of a 50-kg woman will be significantly lower than that of a 90-kg man. Cardiac index is equal to cardiac output corrected for the individual’s size and is commonly used for clinical comparisons with normal values. It has been found, however, that cardiac output correlates better with body surface area than with body weight. Therefore, it is common to express the cardiac output per square meter of surface area. Under resting conditions, the cardiac index is normally approximately 3 L/min/m 2. (Nomograms are available for determining body surface area from height and weight measurements.)
MEASUREMENT OF CARDIAC EXCITATION —THE ELECTROCARDIOGRAM
The electrocardiogram is a powerful clinical tool that is used to evaluate cardiac electrical properties such as excitation rate, rhythm, and conduction characteristics. It does not provide specific information about mechanical activity. As briefly described in Chapter 2, the electrocardiogram is the result of currents propagated through the extracellular fluid that are generated by the spread of the wave of excitation throughout the heart. Electrodes placed on the surface of the body record the small potential differences between various recording sites that vary over the time course of the cardiac cycle.
A typical electrocardiographic record is indicated in Figure 4-2. The major features of the electrocardiogram are the P, QRS, and T waves that are caused by atrial depolarization, ventricular depolarization, and ventricular repolarization, respectively. The period from the initiation of the P wave to the beginning of QRS complex is designated as the PR interval and indicates the time it takes for an action potential to spread through the atria and the atrioventricular (AV) node. During the latter portion of the PR interval (PR segment), no voltages are detected on the body surface. This is because atrial muscle cells are depolarized (in the plateau phase of their action potentials), ventricular cells are still resting, and the electrical field set up by the action potential progressing through the small AV node is not intense enough to be detected. The duration of the normal PR interval ranges from 120 to 200 ms. Shortly after the cardiac impulse breaks out of the AV node and into the rapidly conducting Purkinje system, all the ventricular muscle cells depolarize within a very short period and cause the QRS complex. The R wave is the largest event in the electrocardiogram because ventricular muscle cells are numerous and they depolarize nearly in unison. The normal QRS complex lasts between 60 and 100 ms. (The repolarization of atrial cells also occurs during the period in which ventricular depolarization generates the QRS complex on the electrocardiogram (see Figure 2-5). Atrial repolarization is not evident on the electrocardiogram because it is a poorly synchronized event in a relatively small mass of heart tissue and is completely overshadowed by the major electrical events occurring in the ventricles at this time.)

Figure 4-2. Typical electrocardiogram of a single cardiac cycle.
The QRS complex is followed by the ST segment. Normally, no electrical potentials are measured on the body surface during the ST segment because no rapid changes in membrane potential are occurring in any of the cells of the heart; atrial cells have already returned to the resting phase, whereas ventricular muscle cells are in the plateau phase of their action potentials. (Myocardial injury or inadequate blood flow, however, can produce elevations or depressions in the ST segment.) When ventricular cells begin to repolarize, a voltage difference once again appears on the body surface and is measured as the T wave of the electrocardiogram. The T wave is broader and not as large as the R wave because ventricular repolarization is less synchronous than depolarization. At the conclusion of the T wave, all the cells in the heart are in the resting state. The QT interval roughly approximates the duration of ventricular myocyte action potential and thus the period of ventricular systole. At a normal heart rate of 60 beats/min, the QT interval is normally less than 380 ms. No body surface potential is measured until the next impulse is generated by the sinoatrial (SA) node.
It should be recognized that the operation of the specialized conduction system is a primary factor in determining the normal electrocardiographic pattern. For example, the AV nodal transmission time determines the PR interval. Also, the effectiveness of the Purkinje system in synchronizing ventricular depolarization is reflected in the large magnitude and short duration of the QRS complex. It should also be noted that nearly every heart muscle cell is inherently capable of rhythmicity and that all cardiac cells are electrically interconnected through gap junctions. Thus, a functional heart rhythm can, and often does, occur without the involvement of part or all of the specialized conduction system. Such a situation is, however, abnormal, and the existence of abnormal conduction pathways would produce an abnormal electrocardiogram.
Basic Electrocardiographic Conventions
Recording electrocardiograms is a routine diagnostic procedure, which is standardized by universal application of certain conventions. The conventions for recording and analysis of electrocardiograms from the 3 standard bipolar limb leads are briefly described here.
Recording electrodes are placed on both arms and the left leg—usually at the wrists and the ankle. The appendages are assumed to act merely as extensions of the recording system, and voltage measurements are assumed to be made between points that form an equilateral triangle over the thorax, as shown in Figure 4-3. This conceptualization is called the Einthoven triangle in honor of the Dutch physiologist who devised it in the early 20th century. Any single electrocardiographic trace is a recording of the voltage difference measured between any 2 vertices of the Einthoven triangle. An example of the lead II electrocardiogram measured between the right arm and the left leg has already been shown in Figure 4-2. Similarly, lead I and lead III electrocardiograms represent voltage measurements taken along the other 2 sides of the Einthoven triangle, as indicated in Figure 4-3. The “+” and “-” symbols in Figure 4-3 indicate polarity conventions that have been universally adopted. For example, an upward deflection in a lead II electrocardiogram (as normally occurs during the P, R, and T waves) indicates that an electrical potential exists at that instant between the left leg and the right shoulder electrodes, with the left leg electrode being positive. Conversely, a downward deflection in a lead II record indicates that a polarity exists between the electrodes at that instant, with the left leg electrode being negative. Similar polarity conventions have been established for lead I and lead III recordings and are indicated by the “+” and “-” symbols in Figure 4-3. In addition, electrocardiographic recording equipment is often standardized so that a 1cm deflection on the vertical axis always represents a potential difference of 1 mV, and that 25 mm on the horizontal axis of any electrocardiographic record represents 1 s. Most electrocardiographic records contain calibration signals so that abnormal rates and wave amplitudes can be easily detected.

Figure 4-3. Einthoven’s electrocardiographic conventions.
As shown in the next chapter, many cardiac electrical abnormalities can be detected in recordings from a single electrocardiographic lead. However, certain clinically useful information can be derived only by combining the information obtained from 2 electrocardiographic leads. To understand these more complex electrocardiographic analyses, a close examination of how voltages appear on the body surface as a result of the cardiac electrical activity must be done.
Cardiac Dipoles and Electrocardiographic Records
Einthoven’s conceptualization of how cardiac electrical activity causes potential differences on the surface of the body is illustrated in Figure 4-4. In this example, the heart is shown at one instant in the atrial depolarization phase. The cardiac impulse, after having arisen in the SA node, is spreading as a wavefront of depolarization through the atrial tissue. At each point along this wavefront of electrical activity, a small charge separation exists in the extracellular fluid between polarized membranes (positive outside) and depolarized membranes (negative outside). Thus, the wavefront may be thought of as a series of individual electrical dipoles (regions of charge separation). Each individual dipole is oriented in the direction of local wavefront movement. The large, black arrow in Figure 4-4 represents the total net dipole created by the summed contributions of all the individual dipoles distributed along the wavefront of atrial depolarization. The salty extracellular fluid acts as an excellent conductor, allowing these instantaneous net dipoles, generated on the surface of the heart muscle to be recorded by electrodes on the surface of the body.

Figure 4-4. Net cardiac dipole during atrial depolarization and its components on the limb leads.
The net dipole that exists at any instant during depolarization is oriented (i.e., points) in the general direction of wavefront movement at that instant. The magnitude or strength of the dipole (represented here by the arrow length) is determined by (1) how extensive the wavefront is (i.e., how many cells are simultaneously depolarizing at the instant in question) and (2) the consistency of orientation between individual dipoles at different points in the wavefront (dipoles with the same orientation reinforce each other; dipoles with the opposite orientation cancel each other).
The net dipole in the example in Figure 4-4 causes the lower-left portion of the body to be generally positive with respect to the upper-right portion. This particular dipole will cause positive voltages to exist on all 3 of the electrocardiogram limb leads. As shown in the right half of Figure 4-4, this can be deduced from the Einthoven triangle by observing that the net dipole has some component that points in the positive direction of leads I, II, and III. As illustrated in Figure 4-4, the component that a cardiac dipole has on a given electrocardiogram lead is found by drawing perpendicular lines from the appropriate side of the Einthoven triangle to the tip and tail of the dipole. (It may be helpful to think of the component on each lead as the “shadow” cast by the dipole on that lead as a result of a “sun” located far beyond the corner of the Einthoven triangle that is opposite the lead.) Note that the dipole in this example is most parallel to lead II and therefore has a large component in the lead II direction. Thus, it will create a larger voltage on lead II than on lead I or lead III. This dipole has a rather small component on lead III because it is oriented nearly perpendicular to lead III.
The limb lead configuration may be thought of as a way to view the heart’s electrical activity from 3 different perspectives (or axes). The vector representing the heart’s instantaneous dipole strength and orientation is the object under observation, and its appearance depends on the position from which it is viewed. The instantaneous voltage measured on the axis of lead I, for example, indicates how the dipole being generated by the heart’s electrical activity at that instant appears when viewed from directly above. A cardiac dipole that is oriented horizontally appears large on lead I, whereas a vertically oriented cardiac dipole, however large, produces no voltage on lead I. Thus, it is necessary to have views from 2 directions to establish the magnitude and orientation of the heart’s dipole. A vertically oriented dipole would be invisible on lead I but would be readily apparent if viewed from the perspective of lead II or lead III.
It is important to emphasize that the example in Figure 4-4 pertains only to one instant during atrial depolarization. The net cardiac dipole continually changes in magnitude and orientation during the course of atrial depolarization. The nature of these changes will determine the shape of the P wave on each of the electrocardiogram leads.
The P wave terminates when the wave of depolarization, as illustrated in Figure 4-4, reaches the nonmuscular border between the atria and the ventricles and the number of individual dipoles becomes very small. At this time, the cardiac impulse is still being slowly transmitted toward the ventricles through the AV node. However, the electrical activity in the AV node involves so few cells that it generates no detectable net cardiac dipole. Thus, no voltages are measured on the surface of the body for a brief period following the P wave. A net cardiac dipole reappears only when the depolarization completes its passage through the AV node, enters the Purkinje system, and begins its rapid passage over the ventricular muscle cells. Because the Purkinje fibers initially pass through the intraventricular septum and to the endocardial layers at the apex of the ventricles, ventricular depolarization occurs first in these areas and then proceeds outward and upward through the ventricular myocardium.
Ventricular Depolarization and the QRS Complex
It is the rapid and large changes in the magnitude and direction of the net cardiac dipole that occur during ventricular depolarization that cause the QRS complex of the electrocardiogram. The normal process is illustrated in Figure 4-5. The initial ventricular depolarization usually occurs on the left side of the intraventricular septum, as illustrated in the upper panel of the figure. Analysis of the cardiac dipole formed by this initial ventricular depolarization with the aid of the Einthoven triangle shows that this dipole has a negative component on lead I, a small negative component on lead II, and a positive component on lead III. The upper-right panel shows the actual deflections on each of the electrocardiographic limb leads that will be produced by this dipole. Note that it is possible for a given cardiac dipole to produce opposite deflections on different leads. For example, in Figure 4-5, Q waves appear on leads I and II but not on lead III.

Figure 4-5. Ventricular depolarization and the generation of the QRS complex.
The second row of panels in Figure 4-5 shows the ventricles during the instant in ventricular depolarization when the number of individual dipoles is greatest and/or their orientation is most similar. This phase generates the large net cardiac dipole, which is responsible for the R wave of the electrocardiogram. In Figure 4-5, this net cardiac dipole is nearly parallel to lead II. As indicated, such a dipole produces large positive R waves on all 3 limb leads.
The third row in Figure 4-5 shows the situation near the end of the spread of depolarization through the ventricles and indicates how the small net cardiac dipole present at this time produces the S wave. Note that an S wave does not necessarily appear on all electrocardiogram leads (as in lead I of this example).
The bottom row in Figure 4-5 shows that during the ST segment, all ventricular muscle cells are in a depolarized state. There are no waves of electrical activity moving through the heart tissue. Consequently, no net cardiac dipole exists at this time and no voltage differences exist between points on the body surface. All electrocardiographic traces will be flat at the isoelectric (zero voltage) level.
Ventricular Repolarization and the T Wave
As illustrated in Figure 4-2, the T wave is normally positive on lead II as is the R wave. This indicates that the net cardiac dipole generated during ventricular repolarization is oriented in the same general direction as that existing during ventricular depolarization. This may be somewhat surprising. However, recall from Figure 2-5 that the last ventricular cells to depolarize are the first to repolarize. The reasons for this are not well understood, but the result is that the wavefront of electrical activity during ventricular repolarization tends to retrace, in reverse direction, the course followed during ventricular depolarization. Therefore, the dipole formed during repolarization has the same polarity as that during depolarization. This reversed wavefront propagation pathway during ventricular repolarization results in a positive T wave recorded, for example, on lead II. The T wave is broader and smaller than the R wave because the repolarization of ventricular muscle cells is less well synchronized than is their depolarization.
Mean Electrical Axis and Axis Deviations
The orientation of the cardiac dipole during the most intense phase of ventricular depolarization (i.e., at the instant the R wave reaches its peak) is called the mean electrical axis of the heart. It is used clinically as an indicator of whether ventricular depolarization is proceeding over normal pathways. The mean electrical axis is reported in degrees according to the convention indicated in Figure 4-6. (Note that the downward direction corresponds to plus 90 degrees in this polar coordinate system.) As indicated, a mean electrical axis that lies anywhere in the patient’s lower left-hand quadrant is considered normal. A left-axis deviation exists when the mean electrical axis falls in the patient’s upper left-hand quadrant and may indicate a physical displacement of the heart to the left, left ventricular hypertrophy, or loss of electrical activity in the right ventricle. A right-axis deviation exists when the mean electrical axis falls in the patient’s lower right-hand quadrant and may indicate a physical displacement of the heart to the right, right ventricular hypertrophy, or loss of electrical activity in the left ventricle.
The mean electrical axis of the heart can be determined from the electrocardiogram. The process involves determining what single net dipole orientation will produce the R-wave amplitudes recorded on any 2 leads. For example, if the R waves on leads II and III are both positive (upright) and of equal magnitude, the mean electrical axis must be +90 degrees. As should be obvious, in this case, the amplitude of the R wave on lead I will be zero. 1 Alternatively, one can scan the electrocardiographic records for the lead tracing with the largest R waves and then deduce that the mean electrical axis must be nearly parallel to that lead. In Figure 4-5, for example, the largest R wave occurs on lead II. Lead II has an orientation of +60 degrees, which is very close to the actual mean electrical axis in this example.

Figure 4-6. Mean electrical axis and axis deviations.

Figure 4-7. Typical vectorcardiogram.
Another analysis technique called vectorcardiography is based on continuously following the magnitude and orientation of the heart’s dipole throughout the cardiac cycle. A typical vectorcardiogram is illustrated in Figure 4-7 and is a graphical record of the dipole amplitude in the x and y directions throughout a single cardiac cycle. If one imagines the heart’s electrical dipole as a vector with its tail always positioned at the center of the Einthoven triangle, then the vectorcardiogram can be thought of as a complete record of all the various positions that the head of the dipole assumes during the course of 1 cardiac cycle. A vectorcardiogram starts from an isoelectric diastolic point and traces 3 loops during each cardiac cycle. The first small loop is caused by atrial depolarization, the second large loop is caused by ventricular depolarization, and the final intermediate-sized loop is caused by ventricular repolarization. The mean electrical axis of the ventricle is immediately apparent in a vectorcardiographic record as the orientation of the largest deviation from the isoelectric point during ventricular depolarization. Analogous “mean axes” can similarly be defined for the P wave and T wave but are not commonly used.
The Standard 12-Lead Electrocardiogram
The standard clinical electrocardiogram involves voltage measurements recorded from 12 different leads. Three of these are the bipolar limb leads I, II, and III, which have already been discussed. The other 9 leads are unipolar leads. Three of these leads are generated by using the limb electrodes. Two of the electrodes are electrically connected to form an indifferent electrode, whereas the third limb electrode is made the positive pole of the pair. Recordings made from these electrodes are called augmented unipolar limb leads. The voltage record obtained between the electrode on the right arm and the indifferent electrode is called a lead aVR electrocardiogram. Similarly, lead aVL is recorded from the electrode on the left arm, and lead aVF is recorded from the electrode on the left leg.

Figure 4-8. The standard 12-lead electrocardiogram. ( A and B) Leads in the frontal plane. ( C) Electrode positions for precordial leads in the transverse plane.
The standard limb leads (I, II, and III) and the augmented unipolar limb leads (aVR, aVL, and aVF) record the electrical activity of the heart as it appears from 6 different “perspectives,” all in the frontal plane. As shown in Figure 4-8A, the axes for leads I, II, and III are those of the sides of the Einthoven triangle, whereas those for aVR, aVL, and aVF are specified by lines drawn from the center of the Einthoven triangle to each of its vertices. As indicated in Figure 4-8B, these 6 limb leads can be thought of as a hexaxial reference system for observing the cardiac vectors in the frontal plane.
The other 6 leads of the standard 12-lead electrocardiogram are also unipolar leads that “look” at the electrical vector projections in the transverse plane. These potentials are obtained by placing an additional ( exploring) electrode in 6 specified positions on the chest wall, as shown in Figure 4-8C. The indifferent electrode in this case is formed by electrically connecting the limb electrodes. These leads are identified as precordial or chest leads and are designated as V1 through V6. As shown in this figure, when the positive electrode is placed in position 1 and the wave of ventricular excitation sweeps away from it, the resultant deflection will be downward. When the electrode is in position 6 and the wave of ventricular excitation sweeps toward it, the deflection will be upward.
In summary, the electrocardiogram is a powerful tool for evaluating cardiac excitation characteristics. It must be recognized, however, that the ECG does not provide direct evidence of mechanical pumping effectiveness. For example, a leaky valve will have no direct electrocardiographic consequences but may adversely influence pumping ability of the heart.
Perspectives
With the advent of the computerized imaging techniques and coronary angiography, assessment of cardiac function has come a long way from the old days of relying on ECG analysis, listening to heart sounds, and evaluation of blood pressure and vascular pulse characteristics. However, these old techniques are still useful and the skilled practitioner can obtain much useful information. It is our hope that the medical students of today will continue to develop these basic skills and, although the new techniques are quite seductive, the students will not become completely reliant upon often-expensive technology.
Key concepts
A variety of visualization methods are available assessing cardiac mechanical function, the most common of which is echocardiography.
Ejection fraction and end-systolic pressure-volume relationships can be used for assessing cardiac contractility.
Cardiac output can be measured by applying the Fick principle (whole-body oxygen consumption) or estimated from indicator-dilution or various visualization methods.
Cardiac index is equal to cardiac output normalized for body size (surface area).
The electrocardiogram is a record of the voltage changes that occur on the surface of the body as a result of the propagation of the action potential through the heart during a cardiac cycle.
There are standardized conventions used for recording electrocardiograms.
The magnitude and direction of the net dipole formed by the wavefront of the action potential at any instant in time can be deduced from the magnitude and orientation of the electrocardiographic deflections.
The mean electrical axis describes the orientation of the net dipole at the instant of maximum wavefront propagation during ventricular depolarization and normally falls between 0 and +90 degrees on a polar coordinate system.
The standard 12-lead electrocardiogram is widely used to evaluate cardiac electrical activity and consists of a combination of bipolar and unipolar records from limb electrodes and chest electrodes.
Study questions
4-1. Given the following information, calculate cardiac output and indicate if this is normal for a resting 70-kg man:
Systemic arterial blood oxygen concentration, [O2]SA = 200 mL/L
Pulmonary arterial blood oxygen concentration, [O2]PA = 140 mL/L
Total body oxygen consumption, VO2 = 600 mL/min
4-2. If left ventricular end-diastolic volume is 150 mL and end-systolic volume is 50 mL, what is the ejection fraction? Is this “normal” for a resting adult?
4-3. A decrease in atrioventricular nodal conduction velocity will
a. decrease the heart rate.
b. increase the P-wave amplitude.
c. increase the PR interval.
d. widen the QRS complex.
e. increase the ST-segment duration.
4-4. The P wave on lead aVR of the normal electrocardiogram will be
a. an upward deflection.
b. a downward deflection.
c. not detectable.
d. highly variable.
4-5. If the R wave is upright and equally large on leads I and aVF, what is the mean electrical axis of the heart? Is it within normal range? Which lead(s) will have the smallest R-wave amplitude?
4-6. What is the definition of cardiac “ejection fraction”?
a. stroke volume expressed as a percent of cardiac output
b. the ratio of the end-systolic volume to the end-diastolic volume
c. the ratio of the end-diastolic volume to the end-systolic volume
d. the ratio of the stroke volume to the end-diastolic volume
e. the ratio of the time spent in systole to the time spent in diastole
4-7. Electrocardiograms give information about all of the following except
a. atrial beating rate.
b. site of pacemaker origination.
c. pathway of ventricular activation.
d. rate of AV nodal conduction.
e. amplitude of the ventricular action potential.
4-8. If something slows the conduction pathway of the action potential through the ventricular muscle, which of the following alterations would you most likely see on the ECG?
a. absence of P waves
b. prolongation of the PR interval
c. prolongation of the QRS interval
d. shortening of the QT interval
e. elevation of the ST segment
1 An accurate, albeit tedious, way to determine the mean electrical axis is to follow these steps: (1) determine the algebraic sum of the R- and S-wave amplitude on each of the 2 leads, (2) plot these magnitudes as components on the appropriate sides of Einthoven’s equilateral triangle according to the standardized polarity conventions, (3) project perpendicular lines from the heads and tails of these components into the interior of the triangle to find the position of the head and tail of the cardiac dipole, which produced the R waves, and (4) measure the angular orientation of this dipole.